三极管内部载流子的运动规律、电流分配关系和放大作用
时间:2023-03-14来源:佚名
|
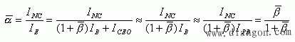
一、三极管的三种连接方式 三极管在电路中的连接方式有三种:①共基极接法;②共发射极接法,③共集电极接法。如图Z0115所示。 共什么极是指电路的输入端及输出端以这个极作为公共端。必须注意,无论那种接法,为了使三极管具有正常的电流放大作用,都必须外加大小和极性适当的电压。即必须给发射结加正向偏置电压,发射区才能起到向基区注入载流子的作用;必须给集电结加反向偏置电压(一般几~几十伏),在集电结才能形成较强的电场,才能把发射区注入基区,并扩散到集电结边缘的载流子拉入集电区,使集电区起到收集载流子的作用。二、三极管内部载流子的运动规律 在发射结正偏、集电结反偏的条件下,三极管内部载流子的运动,可分为3个过程,下面以NPN型三极管为例来讨论(共射极接法)。 1.发射区向基区注入载流子的过程 由于发射结外加正向电压,发射区的电子载流子源源不断地注入基区,基区的多数载流子空穴,也要注入发射区。如图Z0116所示,二者共同形成发射极电流IE。但是,由于基区掺杂浓度比发射区小2~3个数量级,注入发射区的空穴流与注入基区的电子流相比,可略去。 ![]() 2. 载流子在基区中扩散与复合的过程 由发射区注入基区的电子载流子,其浓度从发射结边缘到集电结边缘是逐渐递减的,即形成了一定的浓度梯度,因而,电子便不断地向集电结方向扩散。由于基区宽度制作得很小,且掺杂浓度也很低,从而大大地减小了复合的机会,使注入基区的95%以上的电子载流子都能到达集电结。故基区中是以扩散电流为主的,且扩散与复合的比例决定了三极管的电流放大能力。 3.集电区收集载流子的过程 集电结外加较大的反向电压,使结内电场很强,基区中扩散到集电结边缘的电子,受强电场的作用,迅速漂移越过集电结而进入集电区,形成集电极电流Inc。另一方面,集电结两边的少数载流子,也要经过集电结漂移,在c,b之间形成所谓反向饱和电流ICBO,不过,ICBO一般很小,因而集电极电流 INC ICBO ≈ INC GS0105 同时基极电流 IB = IPB IE -ICBO≈IPB - ICBO GS0106 反向饱和电流ICBO与发射区无关,对放大作用无贡献,但它是温度的函数,是管子工作不稳定的主要因素。制造时,总是尽量设法减小它。 三、三极管的电流分配关系与放大作用 1.电流分配关系 由图Z0116可知,三极管三个电极上的电流组成如下: 发射极电流IE IE=INE+IPE ≈INE GS0107 基极电流IB IB = IPB IPE - ICBO ≈IPB - ICBO 集电极电流IC IC=INC ICBO≈ INC 同时由图Z0116也可看出 INE= INC +IPB GS0108 由以上诸式可得到 IE=IC+ IB GS0109 它表明,发射极电流IE按一定比例分配为集电极电流Ic和基极电流 IB 两个部分,因而晶体三极管实质上是一个电流分配器件。对于不同的晶体管,尽管IC与IB的比例是不同的,但上式总是成立的,所以它是三极管各极电流之间的基本关系式。 由图Z0116也可以看出,INC 代表由发射区注入基区进而扩散到集电区的电子流,IPB代表从发射区注入基区被复合后形成的电流。对于一个特定的三极管,这二者的比例关系是确定的,通常将这个比值称为共发射极直流电流放大系数。用 表示,即 ![]() 如果忽略ICBO,则 该式说明IB对IC有控制作用。 变换一下式GS0110,可写成 令 则上式可写成: 此式表明,集电极电流由两部分组成:一部分是 ,它表示IC与IB的比例关系,另一部分是![]() 称为穿透电流其意义将在三极管参数中介绍。 综合共射极三极管的电流分配关系,可写为 ![]() 三极管的电流分配关系还可以用由发射区传输到集电区的电子流 INC与发射极总发射的电子流IE之间的比例关系来表示。将这二者的比值称为共基极直流电流放大系数,用 表示即:![]() 由于 IC = INC+IICBO,且IC >>ICBO,故: 该式说明IE对IC也有控制作用。 由上可得出共基极电流分配关系为 和 都是描述三极管的同一过程,它们之间必然存在着内在联系。由它们各自的表达式知:![]() ![]() 即: 一般 ≤1 (约0.9~0.99), >>1(约20~200)。2.三极管的放大作用 图Z0117为共射接法的三极管放大电路。待放大的输入信号ui接在基极回路,负载电阻Rc接在集电极回路,Rc两端的电压变化量uo就是输出电压。由于发射结电压增加了ui(由UBE 变成UBE uI)引起基极电流增加了ΔIB,集电极电流随之增加了ΔIC ,ΔIC =βΔIB,它在RC形成输出电压uo=ΔICRC=βΔIB RC 。 只要Rc取值较大,便有uo >>�ui ,从而实现了放大。 |
共什么极是指电路的输入端及输出端以这个极作为公共端。必须注意,无论那种接法,为了使三极管具有正常的电流放大作用,都必须外加大小和极性适当的电压。即必须给发射结加正向偏置电压,发射区才能起到向基区注入载流子的作用;必须给集电结加反向偏置电压(一般几~几十伏),在集电结才能形成较强的电场,才能把发射区注入基区,并扩散到集电结边缘的载流子拉入集电区,使集电区起到收集载流子的作用。
表示,
则上式可写成:
,它表示IC与IB的比例关系,另一部分是
表示即:










