机电一体化系统检测信号的采集与处理
时间:2023-03-14来源:佚名
|
检测系统的组成首先跟传感器输出的信号形式和仪器的功能有关,并由此决定检测系统的类型。 (一)开关信号检测系统 传感器的输出信号为开关信号,如光电开关和电触点开关的通断信号等。这类信号的测量电路实质为功率放大电路。 |
![]() |
|
(二)模拟信号检测系统 模拟式传感器是目前应用最多的传感器,如电阻式、电感式、电容式、压电式、磁电式及热电式等传感器均输出模拟信号,其输出是与被测物理量相对应的连续变化的电信号。 |
![]() |
|
(三)数字信号检测系统 1.绝对码检测电路 |
![]() |
|
2.增量码检测电路 |
![]() |
|
图4.45 增量码数字信号检测系统
常用的细分与辨向电路: (1)多路信号采集细分与辨向 (2)电阻链移相细分与辨向 |
![]() |
|
可见,输入的正、余弦信号经电阻链运算电路进行线性叠加后,得到一相位移为φ的输出信号 (3)锁相倍频细分与辨向 |
![]() |
|
(4)脉冲填充细分与辨向 |
![]() |
|
二、模拟量的转换输入 1.模拟量的转换输入方式 |
![]() |
| 图4.48 模拟量的转换方式 |
|
2.模拟多路开关 模拟多路开关又称为多路转换开关,简称多路开关,其作用是分别或依次把各路检测信号与A/D转换器接通,以节省A/D转换器件。 下图表示一个8通道的模拟开关的结构图,由模拟开关S0~S7及开关控制与驱动电路组成。8个模拟开关的接通与断开,通过用二进制代码寻址来指定,从而选择特定的通道。例如当开关地址为000时,S0开关接通,S1~S7均断开,当开关地址为111时,S7开关接通,其它7个开关断开。 |
![]() |
| 图4.49 8通道的模拟开关结构图 |
|
3. 信号采样与保持 所谓采样,就是把时间连续的信号变成一串不连续的脉冲时间序列的过程。信号采样是通过采样开关来实现的。采样开关又称采样器,实质上它是一个模拟开关,每隔时间间隔T闭合一次,每次闭合持续时间τ,其中,T称为采样周期,其倒数fs=1/T称为采样频率,τ称为采样时间或采样宽度,采样后的脉冲序列称为采样信号。采样信号是一个离散的模拟信号,它在时间轴上是离散的,但在函数轴上仍是连续的,因而还需要用A/D转换器将其转换成数字量。 A/D转换过程需要一定时间,为防止产生误差,要求在此期间内保持采样信号不变。实现这一功能的电路称采样/保持电路。典型的采样/保持电路由模拟开关、保持电容和运算放大器组成,如下图所示。 |
![]() |
| 图4.50 采样/保持电路 |
|
三、数字信号的预处理 传感器的输出信号被采入计算机后往往要先进行适当的预处理,其目的是去除混杂在有用信号中的各种干扰,并对检测系统的非线性、零位误差和增益误差等进行补偿和修正。数字信号预处理一般用软件的方法来实现。 1.数字滤波 数字滤波实质上是一种程序滤波,与模拟滤波相比具有如下优点:①不需要额外的硬件设备,不存在阻抗匹配问题,可以使多个输入通道共用一套数字滤波程序,从而降低了仪器的硬件成本。②可以对频率很低或很高的信号实现滤波。③可以根据信号的不同而采用不同的滤波方法或滤波参数,灵活、方便、功能强 . 1).中值滤波 中值滤波方法对缓慢变化的信号中由于偶然因素引起的脉冲干扰具有良好的滤除效果。其原理是,对信号连续进行n次采样,然后对采样值排序,并取序列中位值作为采样有效值。程序算法就是通用的排序算法。采样次数n一般取为大于3的奇数。当n>5时排序过程比较复杂,可采用“冒泡”算法。 2).算术平均滤波 算术平均滤波方法的原理是,对信号连续进行n次采样,以其算术平均值作为有效采样值。该方法对压力、流量等具有周期脉动特点的信号具有良好的滤波效果。采样次数n越大,滤波效果越好,但灵敏度也越低,为便于运算处理,常取n = 4、8、16。 3).滑动平均滤波 在中值滤波和算术平均滤波方法中,每获得一个有效的采样数据必须进行n次采样,当采样速度较慢或信号变化较快时,系统的实时性往往得不到保证。采用滑动平均滤波的方法可以避免这一缺点。该方法采用循环队列作为采样数据存储器,队列长度固定为n,每进行一次新的采样,把采样数据放入队尾,扔掉原来队首的一个数据。这样,在队列中始终有n个最新的数据。对这n个最新数据求取平均值,作为此次采样的有效值。这种方法每采样一次,便可得到一个有效采样值,因而速度快,实时性好,对周期性干扰具有良好的抑制作用。 4) .低通滤波 当被测信号缓慢变化时,可采用数字低通滤波的方法去除干扰。数字低通滤波器是用软件算法来模拟硬件低通滤波的功能。 一阶RC低通滤波器的微分方程为 |
![]() |
|
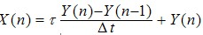
式中 τ = RC是电路的时间常数。用X替代ui,Y替代uo,将微分方程转换成差分方程,得 |
![]() |
|
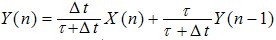
整理后得 ![]() |
|
式中 △t——采样周期;X(n)——本次采样值;Y(n)和Y(n-1)——本次和上次的滤波器输出值。取α= △t /(τ △t ),则上 式可改写成 |
![]() |
|
式中 α——滤波平滑系数,通常取α?1。 由上式可见,滤波器的本次输出值主要取决于其上次输出值,本次采样值对滤波器输出仅有较小的修正作用,因此该滤波器算法相当于一个具有较大惯性的一阶惯性环节,模拟了低通滤波器的功能,其截止频率为 |
![]() |
|
如取α = 1/32, △t = 0.5s,即每秒采样2次,则fc ≈ 0.01Hz,可用于频率相当低的信号的滤波。 (二)静态误差补偿 1.非线性补偿 在机电一体化产品中,常用软件方法对传感器的非线性传输特性进行补偿校正,以降低对传感器的要求。图为传感器的非线性校正系统。当传感器及其调理电路至A/D转换器的输入—输出有非线性,如图b所示,可按图c所示的反非线性特性进行转换,进行非线性的校正,使输出y与输入x呈理想直线关系,如图d所示。 |
![]() |
|
软件校正非线性的方法很多,概括起来有计算法和查表法。下面介绍计算法中的曲线拟合法。 这种方法是采用n次多项式来逼近非线性曲线。该多项式方程的各个系数由最小二乘法确定。其具体步骤如下: (1)对传感器及其调理电路进行静态标定,得校准曲线。标定点的数据为 输入 xi:x1,x2,x3,…,xn 输出 ui:u1,u2,u3,…,un n为标定点个数, i=1,2,…,n (2)设反非线性特性拟合方程为 |
![]() |
|
式中:a0,a1,a2,a3,…,an为待定常数 (3)求解待定常数a0,a1,a2,a3,…,an 。根据最小二乘法来确定待定常数的基本思想是,由多项式方程确定的各个xi(ui)值与各个点的标定值xi之均方差应最小,即: |
![]() |
|
所以对该函数求导并令它为0,即令 |
![]() |
|
从这n 1个方程中可解出n 1个系数,就可写出反非线性特性拟合方程式。有了反非线性特性曲线的n次多项式近似表达式,就可利用该表达式编写非线性校正程序。 再介绍计算法中的代数插值法 代数插值法以代数多项式作为插值函数,又称多项式插值法。设传感器输入信号为y,输出信号为x(x即被计算机采样的数据),输入与输出的函数关系是y=f(x)。用多项式: |
![]() |
|
去逼近f(x)。在Pn(x)确定后,可根据传感器的输出值x,用 Pn(x)代替f(x)去计算传感器的输入值,从而实现非线性补偿。 确定插值多项式需要进行n 1次试验。设传感器的n 1个相异的输出值为Xi(i=0,1,2,…,n),对应的输入值为yi=f(xi),则可建立方程组: |
![]() |
|
解此方程组,可得到n 1个系数aj(j=0,1,2, … ,n),从而得到插值多项式Pn(x)。 2.零位误差补偿 检测系统的零位误差是由温度漂移和时间漂移引起的。采用软件对零位误差进行补偿的方法又称数字调零,其原理如图所示。多路模拟开关可在微型机控制下将任一路被测信号接通,并经测量及放大电路和A/D转换器后,将信号采入微型机。在测量时,先将多路开关接通某一被测信号,然后将其切换到零信号输入端,由微型机先后对被测量和零信号进行采样,设采样值分别为x和a0,其中a0即为零位误差,由微型机执行下列运算:y = x-a0,就可得到经过零位误差补偿后的采样值y。 3.增益误差补偿 增益误差同样是由温度漂移和时间漂移等引起的。增益误差补偿又称校准,采用软件方法可实现全自动校准,其原理与数字调零相似。在检测系统工作时,可每隔一定时间自动校准一次。校准时,在微型机控制下先把多路开关接地(如图所示),得到采样值a0,然后把多路开关接基准输入UR,得到采样值xR,并寄存a0和xR。在正式测量时,如测得对应输入信号Ui的采样值为xi,则输入信号可按下式计算: |
![]() |
|
采用上述校准方法可使测得的输入信号Ui与检测系统的漂移和增益变化无关,因而实现了增益误差的补偿。 |



























