伺服系统的动力方法设计
时间:2023-03-14来源:佚名
|
伺服系统的设计包括: 伺服系统的动力方法设计-静态设计 伺服电机型号和电机机械系统参数相互匹配。 控制理论方法设计-控制器参数和动态性能指标 一、惯量匹配: (一).等效负载惯量JL的计算 1.驱动回转体的转动惯量: |
![]() |
|
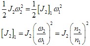
回转运动的动能: |
![]() |
|
根据能量守恒: |
![]() |
|
推广到对多轴系统: |
![]() |
|
2.直线运动物体的等效转动惯量: 以丝杠螺母带动工作台为例: 直线运动工作台的动能: 将此能量转换成电机轴回转运动的能量,根据能量守恒, |
![]() |
|
推广到对一般系统: |
![]() |
|
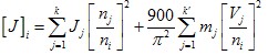
3.回转和直线联动装置的等效转动惯量: |
![]() |
|
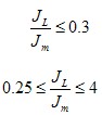
(二). 惯量匹配原则 1.步进电机的惯量匹配条件: |
![]() |
|
带惯性负载时的最大启动频率: |
![]() |
|
2.交、直流伺服电机的惯量匹配原则: 对于采用惯量较小的直流伺服电机的伺服系统 对于采用大惯量直流伺服电机的伺服系统 |
![]() |
|
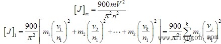
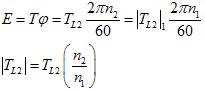
二、容量匹配: (一). 等效转矩的计算 1.等效负载转矩[TL]的计算 根据能量守恒原理: |
![]() |
|
有些机械装置中有负载作用的轴不止一个,此时 |
![]() |
|
2.等效摩擦转矩[Tf]的计算 由于机械装置大部分损失的功率是克服摩擦力做功,所以等效摩擦力矩根据机械效率做近似 估算: |
![]() |
|
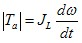
3.等效惯性力矩[Ta]的计算 电机在变速时,需要一定的加速力矩。 |
![]() |
|
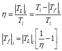
(二). 伺服电机容量匹配原则 1.步进电机的容量匹配 |
![]() |
|
2.交直流伺服电机的容量匹配: 直流伺服电机的转矩-速度特性曲线分成连续工作区、断续工作区、加减速工作区,三个区用途不同,电机转矩的选择方法也不一样。工程上常根据电机发热条件的等效原则,将重复短时工作制等效于连续工作制的电机来选择。 三、速度匹配 同样功率的电机,额定转速高则电机尺寸小,重量轻;电机转速越高,传动比就会越大,这对于减小伺服电机等效转动惯量,提高电机负载能力有利。因此电机常工作在高转速低扭矩状态。但是机械装置工作在低转速高扭矩状态,所以要在伺服电机和机械装置之间需要减速器匹配。应该在对负载分析的基础上,合理选择减速器的减速比。 四、伺服电机选择实例: (一)步进电机选择实例 工作台(拖板)重量W=2000N,拖板导轨之间摩擦系数μ=0.06,车削是最大切削负载FZ=2150N,y向切削分力Fy=2FZ=4300N(垂直于导轨),要求刀具切削使得进给速度v1=10-500mm/min,快速行程速度v2=3000mm/min,滚珠丝杠名义直径d0=32mm,导程tsp=6mm,丝杠总长l=1400mm,拖板最大行程为1150mm,定位精度±0.01mm,试选择合适的步进电机。 |
![]() |
| 图4.18 步进电机带动工作台 |
|
1.脉冲当量的选择: 初选三相步进电机的步距角为0.75°/1.5°,当三相六拍运行时,步距角θ=0.75°,其每转脉冲数S=360°/θ=480。初选脉冲当量δ=0.01mm,根据脉冲当量的定义,可得中间齿轮传动比i为 |
![]() |
|
选小齿轮齿数Z1=20,Z2=25。模数m=2 2.等效负载转矩的计算 (1)空载时的等效摩擦转矩Tf |
![]() |
|
(2)车削加工时的等效负载转矩TL |
![]() |
|
3.等效转动惯量 (1)滚珠丝杠的转动惯量Jsp |
![]() |
|
(2)拖板运动惯量换算到电机轴上的转动惯量JW |
![]() |
|
(3)大齿轮的转动惯量Jg2 |
![]() |
|
(4)小齿轮的转动惯量Jg1 |
![]() |
|
4.初选电机型号 已知TL=241.4(N.cm),JL=7.76(N.cm. s2),初选电机型号为110BF003, 其最大静转矩Tmax=800,转子惯量Jm=4.7 (N.cm. s2)由此可得 |
![]() |
|
满足惯量匹配和容量匹配的条件 5.速度验算 (1)快进速度验算 查步进电机运行矩频曲线得当fmax=6000HZ时, 电机转矩Tm=90(Ncm)>Tf=11.46,可按此频率计算最大进给速度v2 |
![]() |
|
(2)工进速度的验算 |
![]() |
|
综上所述,可选择此型号的电机 (二)直流伺服电机选择实例 线位移脉冲当量δ=0.01mm,最大进给速度v2=6000mm/min,加速时间0.2s,移动体重量W=2000N,移动速度6m/min,拖板导轨之间摩擦系数μ=0.065,电机直接驱动丝杠。丝杠外径55mm,试选择合适的直流伺服电机。 |
![]() |
|
图4.19 直流伺服电机带动工作台 1.根据脉冲当量确定丝杠导程和齿轮传动比: 已知δ和编码器分辨率,可知步距角 |
|
换算到电机轴上 |
![]() |
|
2.所需电机转速的计算 |
![]() |
|
编码器轴上转速 |
![]() |
|
预紧力F2=F1/3=433.33(N) |
![]() |
|
4.等效转动惯量的计算 |
|
移动体 传动体 |
![]() |
|
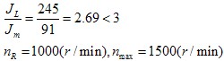
5.初选电机型号 已知TL=200.45(N.cm),JL=245(kg.cm2),初选电机型号为CN-800-10, 其最大静转矩TR=830 (N.cm), 转子惯量Jm=91 (kg.cm2)由此可得 |
![]() |
|
6.计算电机所需转矩Tm |
![]() |
![]() |












































