基本放大电路失真度

时间:2023-03-14来源:佚名

  1、信号在传输过程中,可能产生线性和非线性两种失真。
  线性失真又称为频率失真,是由于器件内部电抗效应和外部电抗元件的存在,而使得电路对同一信号中不同的频率分量的传输系数不同或相位移不同而引起的。
  非线性失真是由于器件的非线性引起的。两种失真的区别在于非线性失真使得电路的输出信号中产生了不同于输入信号的新的频率成分,而线性失真则不会产生新的频率成分。
  2、线性失真用电路的频率特性表示,失真度的测量是指非线性失真的程度的测量。
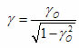
  衡量非线性失真的大小,常用非线性失真系数(失真度)基本放大电路失真度表示,它的定义为:

基本放大电路失真度

  式中U1为基波分量电压有效值。U2,U3,…,UN分别为二次、三次……N次谐波分量电压有效值。
  由于在实际工作中测量被测信号的基波电压有效值比较困难,而一般测量被测信号的电压有效值比较容易,因此,常用的测试非线性失真的大小的仪器——失真度测试仪——测出的非线性失真系数为基本放大电路失真度0

基本放大电路失真度

  即基本放大电路失真度o为被测信号中各次谐波电压有效值与被测信号电压有效值之比的百分数。基本放大电路失真度基本放大电路失真度o的关系为:

基本放大电路失真度

  当基本放大电路失真度0<0%时,基本放大电路失真度基本放大电路失真度0,当基本放大电路失真度0>0%时,则应按上式计算基本放大电路失真度信号的失真。
  失真度既可以表征电路的特性,又可以表征非正弦信号与正弦信号的差别,用失真度来表征一个正弦振荡器的输出波形的好坏就是一个例子。一般,人耳对音乐能觉察0.7%左右的失真度;对语言能分辨3%~5%的失真度。对于音频设备,常要求失真度在0.5%~0.8%以下。

    相关阅读

    干货收藏!一篇吃透TT/IT/TN-S配电系统

    很多电工刚入行,一提到配电系统就发懵:TT、IT、TN-C、TN-S,光听名字就晕,更别说区分用法了。工地、小区、厂房、家用的配电形式完全不一样,一旦接错线,轻则频繁跳闸、影响使用,重则...
    2026-04-11
    干货收藏!一篇吃透TT/IT/TN-S配电系统

    万用表检测电子电路好坏的方法

    万用表 测量法是指用万用表测量电路中电压、电流、电阻器的量值,从而判断故障的方法。所以,万用表测量法又分为电阻测量法、电压测量法和电流测量法。它是检修电子 产品时使...
    2023-03-21

    西门子plc更换电池后出现电池故障信号

    西门子S7-400CPU使用的是锂电池(锂/亚硫酰氯)。锂电池在长期放置的情况下会生成钝化膜,这个特性会直接影响备用电池的功能。这种情况下,当系统电源 接通时,CPU会提示错误信息。后...
    2023-03-21

    电气新手必知:正弦交流电路的基本物理量(专业电气学姐带你学二十九)

    我们(píng)时所用的电到底是怎么样的呢? 所谓的电压220V是不是说明该电压的值是不变的?而交流和直流之间的区别又有哪些? 这些问题我不知道有多少人可以回答得出来,但是如果你把这...
    2023-06-27
    电气新手必知:正弦交流电路的基本物理量(专业电气学姐带你学二十九)

    水电安装预留预埋施工工艺标准做法|砖胎模技术交底

    参考文章1 水电安装预留预埋施工工艺标准做法 建筑电气施工技术 目录 一、楼面、梁、墙柱内电线管预埋 二、混凝土墙内电气线盒安装 三、电箱底盒预埋及安装 四、预制墙板内管线...
    2023-06-11
    水电安装预留预埋施工工艺标准做法|砖胎模技术交底

    热销商品

    加厚abs安全帽电工建筑工地程施工领导监理透气防砸头盔可印字V型

    这款加厚ABS安全帽专为电工、建筑工地施工人员、领导及监理设计,采用高强度ABS工程塑料,抗冲击、防砸性能优异,有效保障头部安全。帽体加厚设计,增强耐用性与防护等级...
    5.8

    欧普led筒灯3w孔灯超薄桶灯吊顶天花灯过道嵌入式洞灯客厅5w

    欧普LED筒灯是一款高品质嵌入式照明产品,适用于客厅、过道、吊顶等多种场景。采用优质LED光源,提供3W和5W两种功率选择,光线柔和均匀,显色指数高,有效还原真实色彩。超...
    7.45

    水口钳高硬度模型剪钳电子钳工业级口水剪斜嘴钳偏口斜口专用钳子

    水口钳高硬度模型剪钳是一款工业级精密工具,专为电子、模型制作及精细作业设计。采用优质高碳钢材质,经热处理工艺打造,具备卓越的硬度和耐磨性,可轻松剪切金属引脚、...
    4.8

    170电子剪钳II 如意斜口钳 工业斜嘴钳水口钳 模型剪塑胶钳尖嘴钳

    170电子剪钳II如意斜口钳是一款专业级精密工具,集工业斜嘴钳、水口钳、模型剪、塑胶钳与尖嘴钳功能于一体,适用于电子维修、模型制作、手工艺及精密作业。其采用优...
    4.5

    安全帽国标工地加厚施工领导透气安全头盔建筑工程监理免费印字

    本款安全帽严格遵循国家GB 2811-2019标准,专为建筑工程、工地施工及监理人员设计。采用高强度ABS工程塑料,加厚壳体有效抗冲击,保障头部安全。帽体轻盈透气,内置可调...
    10

    网站栏目