对称三相正弦交流电路
|
三相制供电是电力系统普遍采用的供电方式,所谓三相制就是由三个频率相同、相位不同的电源作为供电体系。三相制之所以获得广泛应用,主要是因为它在发电、输送和负载驱动方面与单相制相比有许多优点。与三相供电电源相对应,每组负载也由三个组成,称为三相负载。 三相电源的三个电势和三相负载阻抗有两种基本连接方式,即星形联结(Y联结)和三角形联结(△联结)。图1分别示出了三相电源与三相负载的Y联结与△联结。每相电源
图1 与负载分别标以A相、B相和C相加以区别。在Y联结方法中,各相电源和负载的输出端称为各相的端点,三相公共联结点称为中性点,或简称为中点。在△联结方法中,三相电源或负载分别首尾相连,无中性点。由三相电源或三相负载连接而成的电路称为三相电路。 图2画出了电源和负载均为星形联结的三相电路图。图中Zl表示每相线路阻抗,从电源端点A、B、C至负载端点
图2 图3分别表示了Y形联结电源与△形联结负载,以及△形联结电源与△形联结负载的连线方式。在这些联结方式中,对于三相电源和三相负载,不论是△形还是Y形接法,规定通过每个电压源或每个负载阻抗的电流称为相电流,每个电压源或负载阻抗两端的电压称为相电压。流过三根端线的电流称为线电流,端线与端线之间的电压称为线电压。
图3 如果在三相电源中,三个正弦电压源的振幅相等,电压源之间的相位差均为1/3周期(
则它为对称三相电源,可用相量表示为
对称三相电源的波形图和相量图分别示于图4中。对于△形联结的三相电源,从波形图可见由于三相电动势串联后
图4 首先分析Y形联结的对称三相负载的线电压、线电流与相电压、相电流之间的关系。图5所示为一Y形联结的对称三相负载,设负载的各相电压为对称且为正序,则电压相量可表示为
图5
线电压为: 4)对称三相Y形联结的负载电路,其线电压也是一组对称的三相电压,线电压有效值是相电压有效值的
可见负载各相电流也是一组对称三相电流,相序与电压相同。对于Y形联结而言,相电流等于线电流。 对于△形联结的对称三相负载,如图6所示,各相电压即等于对应端线间的线电压,如果线电压为对称三相电压,即有:
图6 则负载相电流为一组对称三相电流。
根据基尔霍夫节点电流定律,可求得线电流为
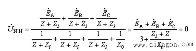
可见线电流也为一组对称三相电流,线电流 下面分析对称三相电路的计算特点。图7为三相四线制电路,由三相对称电源和三相对称负载组成,Zl为线路阻抗,Z0为中线阻抗。设中点N为参考,则可求得:
可见对称三相电路中性点的电位是相等的。各相电流:
中线电流
图7 例1 图8a为由两组对称三相电源供电的三相电路。已知
图8 解:为画出单相图,需将△形联结的电源与△形联结的负载转换为Y形联结,如图8b。 由△-Y转换的相电压线电压关系,可知△形联结的电源等效转换为Y形联结的相电势为:
由△形联结负载转换为Y形联结后其等效阻抗为: 即 : 取A相电路,并把各中性点联结,则得到如图4-3-8c所示的单相图。设N为参考点,则列节点方程为: 则: 此为Y形联结的相电流,也为线电流值。则△形联结的实际相电流为
相电压为: 由对称性可写出各相电压电流值为
|






























































