功率放大电路的分析计算
时间:2023-03-14来源:佚名
|
一、功率放大电路的主要技术指标
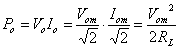
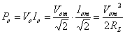
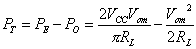
双电源互补对称式功率放大电路的主要技术指标: 1、输出功率Po和输出效率η ![]() 设输入: 则输出: 输出功率: 电源提供平均功率: 转换效率: 当输入信号幅度达到理想的最大值 当考虑功放管的饱和压降VCES时,Vom=Vcc-VCES,实际效率将小于78.5%(一般为60~70%)。 2、管耗PT T1、T2两管的总管耗为: 二、功率管的选取 在互补对称功率放大电路中,功放管必须按以下几点原则选取: 1.管子的功耗PCM>0.2Pomax。 2.功放管的耐压V(BR)CEO>2VCC。 3.功放管允许的最大集电极电流ICM>Vcc/RL。 三、功放电路实际应用时需考虑的问题 1.功率管应该严格配对,大小工作电流时的β一致。在大电流下饱和压降小,且一致。 2.管子的散热问题。在大功率场合,必须给管子装上一定尺寸的散热板,或进行风冷和水冷。 3.功放管因在大电流、高电压下工作,应对其采取过压和过流保护措施。 4.当电源质量不高或内阻较大时,电源内阻上的压降可能会引起功放电路的低频自激。消除低频自激的有效方法是在前置放大电路的供电回加接去耦电路。 四、小结 1.功率放大器的基本电路结构有几种? 有互补对称(单电源OTL、双电源OCL)。变压器耦合功放按静态工作点的高低(静态功耗的大小)分甲类、甲乙类、乙类。 2.互补对称功率放大器的主要技术指标如何估算? 输出功率: 电源效率: 功率管功耗: 3.实际功率放大器应考虑哪些问题? 功率管的耐压,电流;过流、过压的保护;散热,电路中加去耦滤波电容,失真等。 |






时,最大输出功率
,
,
,为求最大管耗PTM,对上式求导,并令dPT/dVom=0,即:
,此时:
,所以每个功放管的最大功耗为:
。
,
。
,
。
。





