特勒根定理

时间:2023-03-14来源:佚名
    Tellogen's Theorem 是电路理论中与 Kirchholff 's Law 等价的一条基本定理,因此,它适用于一切集总参数的电路。

1、特勒根功率定理

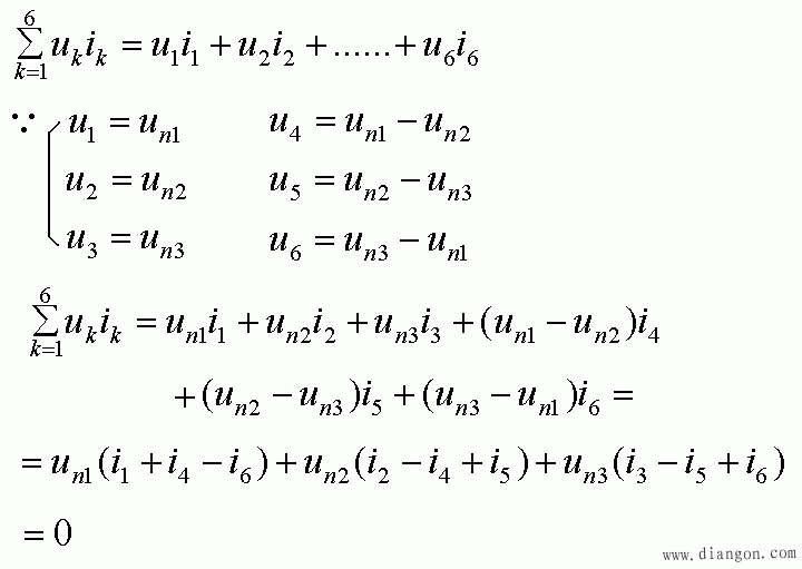
    对于一个具有 n 个节点和 b 条支路的电路,假设各支路电流与电压取关联参考方向,表示为:i1、u1 , i2、u2 , …… ,ib、ub,则在任何时刻 t ,有:
特勒根定理

    特勒根功率定理的实质是:功率守恒。这是一个普适定理,因此,它适用于一切集总电路,而不管它是线性的、非线性的、时变的、时不变的。

特勒根定理

    以特例来证明:
特勒根定理

2、特勒根似功率定理

    有两个电路,假设它们的节点数、支路总数相同,图也相同,支路上的元件可以不同。并假定各支路电流和电压取关联参考方向,则两电路对应支路电压和电流的交叉乘积代数和为零:

特勒根定理

    该定理描述的是两个具有相同拓扑结构的电路,其电压电流之间满足的一个数学关系式,没有具体的物理含义,因此称为 “ 似功率定理 ”。

    证明与上述类似,此处从略。

    相关阅读

    隔爆型电气设备的防爆原理

    隔爆型电气 设备的防爆原理是:将电气设备的带电部件放在特制的外壳内,该外壳具有将壳内电气部件产生的火花和电弧与壳外爆炸性混合物隔离开的作用,并能承受进入壳内的爆炸性...
    2023-03-21

    钳形电流表测量直流电流及浪涌电流的方法

    本文介绍了钳形电流表的使用方法,使用钳形电流表测量直流电流、浪涌电流与电压,以及钳形电流表的使用注意事项,下面具体来了解下。 一、钳形电流表的使用方法 钳形电流表的...
    2024-03-18
    钳形电流表测量直流电流及浪涌电流的方法

    2021年报考低压电工的相关事项,现在公布!

    【点击领取】 三菱案例 | 西门子案例 | 电工手册 | 工具箱 软件 【点击获取】 三菱PLC例程117个|西门子PLC例程777个 【点击下载】 2020最新电工仿真软件 电工证 作业种类: 电工(俗称操作...
    2023-06-27

    超详细!这可能是2018年最全面的电气工程基础知识,谁总结的!

    超详细!这可能是2018年最全面的电气工程基础知识,电力人万万不能错过的一篇知识干货!本文篇幅较长,建议先收藏,以后留着慢慢看! 以上内容由 电力知识课堂提供!...
    2023-06-11

    ABB变频器如何选型

    ABB变频器 针对各种应用领域、工矿、环境有不同的选型方案。ACS350用于小功率电机使用的场合,从0.37至7.5KW;ACS510从1.1至110KW;ACS550从0.75至110KW;ACS800--1从1.5至110KW;ACS800-02从110至400K...
    2023-03-21

    热销商品

    加厚abs安全帽电工建筑工地程施工领导监理透气防砸头盔可印字V型

    这款加厚ABS安全帽专为电工、建筑工地施工人员、领导及监理设计,采用高强度ABS工程塑料,抗冲击、防砸性能优异,有效保障头部安全。帽体加厚设计,增强耐用性与防护等级...
    5.8

    欧普led筒灯3w孔灯超薄桶灯吊顶天花灯过道嵌入式洞灯客厅5w

    欧普LED筒灯是一款高品质嵌入式照明产品,适用于客厅、过道、吊顶等多种场景。采用优质LED光源,提供3W和5W两种功率选择,光线柔和均匀,显色指数高,有效还原真实色彩。超...
    7.45

    水口钳高硬度模型剪钳电子钳工业级口水剪斜嘴钳偏口斜口专用钳子

    水口钳高硬度模型剪钳是一款工业级精密工具,专为电子、模型制作及精细作业设计。采用优质高碳钢材质,经热处理工艺打造,具备卓越的硬度和耐磨性,可轻松剪切金属引脚、...
    4.8

    170电子剪钳II 如意斜口钳 工业斜嘴钳水口钳 模型剪塑胶钳尖嘴钳

    170电子剪钳II如意斜口钳是一款专业级精密工具,集工业斜嘴钳、水口钳、模型剪、塑胶钳与尖嘴钳功能于一体,适用于电子维修、模型制作、手工艺及精密作业。其采用优...
    4.5

    安全帽国标工地加厚施工领导透气安全头盔建筑工程监理免费印字

    本款安全帽严格遵循国家GB 2811-2019标准,专为建筑工程、工地施工及监理人员设计。采用高强度ABS工程塑料,加厚壳体有效抗冲击,保障头部安全。帽体轻盈透气,内置可调...
    10

    网站栏目