测量高频频率的方法
时间:2023-03-14来源:佚名
|
测量高频频率的方法一般有谐振法、比较法和计数法三种。
1、谐振法就是利用谐振系统与被测电流频率谐振时所产生的现象来确定被测频率的。 2、比较法是应用被测频率fx与标准频率fs(可能是二级、一级甚至绝对频率标准)相比较来确定fx。 3、计数器法是在一个特定的时间间隔内,数出被测频率信号的周期数来确定其频率的。 一、谐振法
1、用于测量高频频段,特别是特高频范围的测量
2、波长计个别元件以及同被测频率源的耦合提出以下的要求 (1)电容的有功损耗应尽量小。因此,通常利用空气介质的可变电容器。 (2)电感线圈的电阻分量应尽量小。因此,电感线圈不应是小型的或铁心的。 (3)串联接入的谐振指示器的电阻应尽量小。因此,常用小电阻的热电式电流表。并联接入的电压指示器的输入电阻应尽量大。 (4)波长计和被测频率源的耦合应该很弱,使引入到波长计回路中的电阻很小。 (5)另外,在集中参数的波长计中,从电容器刻度上读取的读数常有一定的误差,因此,根据校正曲线或表格查出的波长计的频率也有误差。如果电容器读数的误差为±ΔC,则由公式
从上式可以看出,当电容器的电容量C最大和电容读数的绝对误差ΔC最小时,测量误差最小。但是,所有的测量不可能都在电容器最大的电容器上进行,可以适当选取线圈,使测量在C具有较大值的波段中进行。
二、比较法
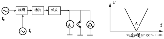
比较法测量频率是利用已知的标准频率与被测频率进行比较,并由两者的关系和标准频率的数值来确定被测频率的大小。这种方法测量的精确度主要取决于标准频率的准确度。比较法有以下三种方法: 1、零拍法 零拍法测量原理图与8频率与差频的关系图,如图2所示:
图2 零拍法测量原理图与8频率与差频的关系图 应当指出的是,在一般情况下,由于元件的非线性,在平滑调谐fs时,将出现很多零拍点,并满足nfx= mfs的关系,而各零拍点对应的m、n往往难以确定。因此用零拍法测量频率时,要有相应的粗测设备,以便在测量前做到心中有数。
(1)在一般情况下,由于元件的非线性,在平滑调谐fs时,将出现很多零拍点,并满足nfx= mfs的关系,而各零拍点对应的m、n往往难以确定。因此用零拍法测量频率时,要有相应的粗测设备,以便在测量前做到心中有数。 (2)用耳机作为零拍指示器时,当差频F低于15~30Hz频率,因人的耳朵对于该范围的频率听不见,会引起测量误差。并导致频率fx与fs的比较有30~60Hz的绝对误差。 (3)一个振荡器对另一个振荡器的牵引效应也会引起这种误差。在有音频牵引时,即使在某一个范围内调谐fs,fs与fx仍然彼此相等,致使在牵引区域内耳机中没有声音。为此,我们可以通过减小fs与fx振荡器之间耦合强度,使之很弱,这样就可以使牵引效应的影响忽略不计。就可以提高零拍法比较频率的精确度。 2、二次差拍法 二次差拍法测量框图,如图3所示:
图3 二次差拍法测量框图 F前面的符号用下面的方法确定:fs > fx,F应取“-”;则fs 二次差拍法与零拍法不同,它多用了一个标准音频电源。这就避免了零拍法由于听觉不能判断的寂静区(15~30Hz)和牵引效应所引起的误差。只要高、低二个标准振荡器的频率和被测振荡器的频率的稳定度高,则测量精确度就可以很高。这种方法常用于精密测量和计量工作中。 |











