晶闸管斩波器
|
在大功率的DC-DC变换中,往往使用晶闸管作功率开关元件的直流斩波器(电路)。用于斩波器的晶闸管有半控的普通晶闸管和全控的门极可关断晶闸管(GTO),它们电压、电流容量相近,但用于直流变换的普通晶闸管有关断(换流)问题,除有换流电路导致的斩波器结构复杂外,其斩波频率也较低,约100~200Hz。GTO无关断问题,其斩波器主电路简单,但触发电路设计较复杂,斩波频率可达1KHz。本节主要讨论由普通快速晶闸管和GTO元件构成的斩波电路,包括降压斩波、升压斩波及斩波变阻技术。 降压斩波及升压斩波方式多用于城市电车、地铁、电瓶车等直流电动机驱动系统,用作速度调节。图4-15为定频调宽的脉宽调制(PWM)晶闸管斩波器主电路结构,其中VT1为主晶闸管,起功率开关作用;VT2为辅助晶闸管,与无源元件C、L1、L2、VD1、VD2一起组成VT1的关断电路,从而控制输出电压的脉宽。VDF为负载感性电流的续流二极管。 斩波器的工作过程可用图1、配合图2来说明。 1)接通直流电源。由于VT1、VT2均未触发,电源E通过L1、VD1及负载L、R对C
图1 定频调宽晶闸管降压斩波器
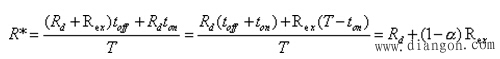
图3 GTO升压斩波器及工作模式电路拓扑 (a)升压斩波电路;(b)导通(ton)模式;(c)关断(toff)模式 输出电压为:
由于 ![]() ![]() 利用斩波器与固定电阻并联,改变斩波电路的通导比,可以实现电阻值的等效变化。图4为三相绕线式异步电动机转子串电阻斩波变阻调速的应用。转子绕组相电压经不控整流变换成直流,使所需外接电阻减少至单个
图4 绕线式异步电机转子串电阻斩波变阻调速 当斩波器关断时,转子回路所接电阻为 由此可见,改变斩波器的导通比 |
























