并联谐振电路
时间:2023-03-14来源:佚名
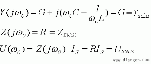
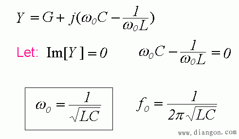
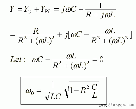
1. RLC 并联电路的谐振条件![]() ![]() 2. RLC 并联电路的谐振特性①总导纳取最小值,且呈电导属性
![]() ![]()
![]() ![]()
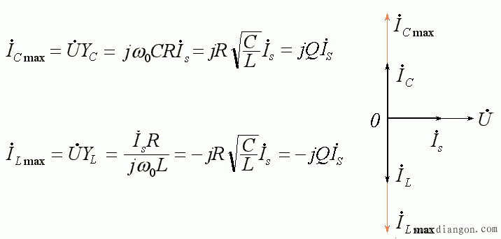
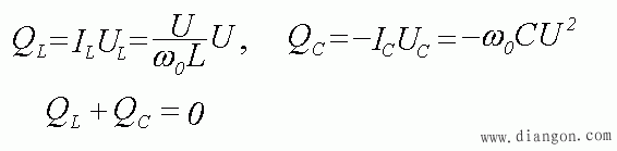
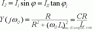
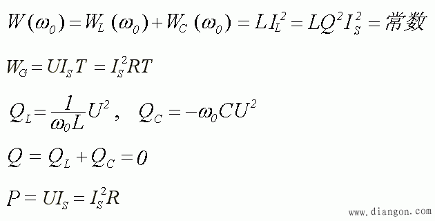
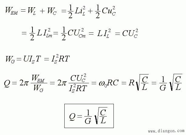
3. 并联谐振电路的品质因数- Q 值![]() ![]() 4. 并联谐振电路的能量与功率![]() 5.工程中的并联谐振电路![]() ![]() 谐振时的输入导纳:
![]() |
1. RLC 并联电路的谐振条件![]() ![]() 2. RLC 并联电路的谐振特性①总导纳取最小值,且呈电导属性
![]() ![]()
![]() ![]()
3. 并联谐振电路的品质因数- Q 值![]() ![]() 4. 并联谐振电路的能量与功率![]() 5.工程中的并联谐振电路![]() ![]() 谐振时的输入导纳:
![]() |







