一、 概述 转差功率的利用 众所周知,作为异步电动机,必然有转差功率,要提高调速系统的效率,除了尽量减小转差功率外,还可以考虑如何去利用它. 但要利用转差功率,就必须使异步电动机的转子绕组有与外界实现电气联接的条件,显然笼型电动机难以胜任,只有绕线转子电动机才能做到. 绕线转子异步电动机 绕线转子异步电动机结构如图所示,从广义上讲,定子功率和转差功率可以分别向定子和转子馈入,也可以从定子或转子输出,故称作双馈电机。 |
 |
绕线转子异步电动机转子串电阻调速 根据电机理论,改变转子电路的串接电阻,可以改变电机的转速。转子串电阻调速的原理如图所示,调速过程中,转差功率完全消耗在转子电阻上。 |
 |
双馈调速的概念 所谓“双馈”,就是指把绕线转子异步电机的定子绕组与交流电网连接,转子绕组与其他含电动势的电路相连接,使它们可以进行电功率的相互传递。至于电功率是馈入定子绕组和/或转子绕组,还是由定子绕组和/或转子绕组馈出,则要视电机的工况而定。 双馈调速的基本结构 |
 |
如上图所示,在双馈调速工作时,除了电机定子侧与交流电网直接连接外,转子侧也要与交流电网或外接电动势相连,从电路拓扑结构上看,可认为是在转子绕组回路中附加一个交流电动势。 功率变换单元 由于转子电动势与电流的频率随转速变化,即 ,因此必须通过功率变换单元(Power Converter Unit—CU)对不同频率的电功率进行电能变换。 对于双馈系统来说,CU应该由双向变频器构成,以实现功率的双向传递。 双馈调速的功率传输 (1)转差功率输出状态 异步电动机由电网供电并以电动状态运行时,它从电网输入(馈入)电功率,而在其轴上输出机械功率给负载,以拖动负载运行; |
 |
(2)转差功率输入状态 当电机以发电状态运行时,它被拖着运转,从轴上输入机械功率,经机电能量变换后以电功率的形式从定子侧输出(馈出)到电网. |
 |
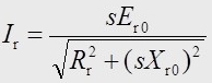
二、 异步电机转子附加电动势的作用 异步电机运行时其转子相电动势为 Er = sEr0 式中 s — 异步电动机的转差率; Er0 — 绕线转子异步电动机在转子不动时的相电动势,或称转子开路电动势,也就是转子额定相电压值. 转子相电流的表达式为: |
式中 Rr — 转子绕组每相电阻; Xr0 — s = 1时的转子绕组每相漏抗 转子附加电动势 |
 |
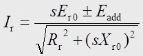
绕线转子异步电动机转子附加电动势的原理图 附加电动势与转子电动势有相同的频率,可同相或反相串接。 有附加电动势时的转子相电流: 如图7-1所示,绕线转子异步电动机在外接附加电动势时,转子回路的相电流表达式  转子附加电动势的作用 1. Er 与 Eadd 同相 当 Eadd ↑ , s1Er0 Eadd ↑→ I r ↑→ Te ↑→ n ↑→ s ↓ 使得: |
 |
这里: s1 > s2 转速上升; 转子附加电动势的作用(续) 当 Eadd ↓ , s1Er0 Eadd ↓→ I r ↓→ Te ↓→ n ↓→ s ↑ 使得: |
 |
这里: s1 < s2 转速下降; 转子附加电动势的作用(续) 2. Er 与 Eadd反相 同理可知,若减少或串入反相的附加电动势,则可使电动机的转速降低。所以,在绕线转子异步电动机的转子侧引入一个可控的附加电动势,就可调节电动机的转速。 | |