电流整定计算与动作时限选择
时间:2023-03-14来源:佚名
|
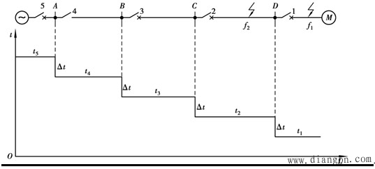
根据下图了解单侧电源串联线路中各过电流保护动作,并学会确定保护动作时限。
图 单侧电源串联线路中各过电流保护动作时限的确定 (1)假定在每个电气元件上均装有过电流保护,各保护装置的起动电流均按照躲开被保护元件上积压自的最大负荷电流来整定。这样当
一般来说,任一过电流保护的动作时限,应选择得比相邻各元件保护的动作时限均高出至少一个 |
|
根据下图了解单侧电源串联线路中各过电流保护动作,并学会确定保护动作时限。
图 单侧电源串联线路中各过电流保护动作时限的确定 (1)假定在每个电气元件上均装有过电流保护,各保护装置的起动电流均按照躲开被保护元件上积压自的最大负荷电流来整定。这样当
一般来说,任一过电流保护的动作时限,应选择得比相邻各元件保护的动作时限均高出至少一个 |








