典型的共射放大电路在进行静态分析时,何时可以采用简单估算?误差有多大?
时间:2023-03-14来源:佚名
|
共射放大电路是三种组态放大电路之一,典型电路如图1所示。熟练掌握CE电路的特点和分析方法对于其它放大电路的分析是大有好处的。
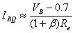
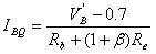
图 1 CE放大电路 静态偏置利用电阻Rb1和Rb2对直流电源VCC分压再与射极电阻Re一起决定电路的静态工作点,并使工作点稳定。一个难点是在静态工作点计算时,何时可以采用估算方法?其误差有多大?由图1可得近似计算方法: 若采用戴维南等效,则有: 其中: 可见,只有在电阻Re和Rb1、Rb2 是同一数量级时才可以简单采用估算方法。如果Re比Rb1、Rb2小得多,则只能采用戴维南等效方法进行计算。大家还可以想想如果 |

,

,
,又如何计算呢?







