全电流定律
时间:2023-03-14来源:佚名
|
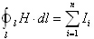
早在公元前,人们就知道了磁的存在。但在很长时间里,人们都把磁场和电流当作两种独立无关的自然现象,直到1829年才发现了它们之间的内在联系,即磁场是由电流的激励而产生的。换句话说,磁场与产生该磁场的电流同时存在。全电流定律就是描述这种电磁联系的基本电磁定律。 设空间有n根载流导体,导体中的电流分别为I1,I2,……,In则沿任意可包含所有这些导体的闭合路径l,磁场强度H的线积分等于这些导体电流的代数和,即
图 1 说明全电流定律 就是全电流定律,亦称作安培环路定律。式中电流的符号由右手螺旋法则确定,即当导体电流的方向与积分路径的方向呈右手螺旋关系时,该电流为正,反之为负。以图1为例,虽有积分路径l和l′,但其中包含的载流导体相同,积分结果必然相等,并且就是电流I1,I2和I3的代数和。依右手螺旋法则,I1和I2应取正号,而I3应取负号。写成数学表达形式就是
即积分与路径无关,只与路径内包含的导体电流的大小和方向有关。 全电流定律在电机中应用很广,它是电机和变压器磁路计算的基础。 |








