三相异步电动机在两相坐标系上的数学模型

时间:2023-03-14来源:佚名

1.异步电机在两相任意旋转坐标系(dq坐标系)上的数学模型
两相坐标系可以是静止的,也可以是旋转的,其中以任意转速旋转的坐标系为最一般的情况,有了这种情况下的数学模型,要求出某一具体两相坐标系上的模型就比较容易了。
变换关系
设两相坐标三相异步电动机在两相坐标系上的数学模型轴与三相坐标三相异步电动机在两相坐标系上的数学模型轴的夹角为三相异步电动机在两相坐标系上的数学模型, 而三相异步电动机在两相坐标系上的数学模型三相异步电动机在两相坐标系上的数学模型坐标系相对于定子的角转速,三相异步电动机在两相坐标系上的数学模型三相异步电动机在两相坐标系上的数学模型坐标系相对于转子的角转速。

三相异步电动机在两相坐标系上的数学模型

变换过程

三相异步电动机在两相坐标系上的数学模型
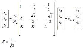
具体的变换运算比较复杂,
三相异步电动机在两相坐标系上的数学模型
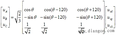
根据式(6-98)另0轴为假想轴d轴和A轴夹角为 θ 可得:
三相异步电动机在两相坐标系上的数学模型
写成矩阵形式:
三相异步电动机在两相坐标系上的数学模型
合并以上两个方程式得三相静止ABC坐标系到两项旋转dq0坐标系的变换式三相异步电动机在两相坐标系上的数学模型
三相异步电动机在两相坐标系上的数学模型

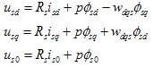
(1)磁链方程
利用变换将定子的三项磁链和转子的三项磁链变换到dqo坐标系中去,定子磁链的变换阵是三相异步电动机在两相坐标系上的数学模型其中d轴与A轴的夹角为三相异步电动机在两相坐标系上的数学模型,转子磁链的变换阵是三相异步电动机在两相坐标系上的数学模型是旋转三相坐标系变换到不同转速的旋转两相坐标系。其中 d 轴与 α 轴的夹角为三相异步电动机在两相坐标系上的数学模型

三相异步电动机在两相坐标系上的数学模型
则磁链的变换式为:
三相异步电动机在两相坐标系上的数学模型

把定子和转子的磁链表达成电感阵和电流向量乘积,在用三相异步电动机在两相坐标系上的数学模型三相异步电动机在两相坐标系上的数学模型的反变换阵把电流变换到dq0坐标上:

三相异步电动机在两相坐标系上的数学模型

磁链的零轴分量为三相异步电动机在两相坐标系上的数学模型
它们各自独立对dq轴磁链没有影响,可以不考虑则可以简化。

控制有关。
代入参数计算,并去掉零轴分量则dq坐标系磁链方程为
三相异步电动机在两相坐标系上的数学模型
或写成
三相异步电动机在两相坐标系上的数学模型
式中
三相异步电动机在两相坐标系上的数学模型
—— dq坐标系定子与转子同轴等效绕组间的互感;
—— dq坐标系定子等效两相绕组的自感;
——dq坐标系转子等效两相绕组的自感。
异步电机在两相旋转坐标系dq上的物理模型
三相异步电动机在两相坐标系上的数学模型
图6-50 异步电动机在两相旋转坐标系dq上的物理模型
(2)电压方程
利用上式A得定子电压变换的关系为
三相异步电动机在两相坐标系上的数学模型
先讨论A相的关系三相异步电动机在两相坐标系上的数学模型
同理三相异步电动机在两相坐标系上的数学模型
三相异步电动机在两相坐标系上的数学模型
在ABC坐标系下A相的电压方程,
三相异步电动机在两相坐标系上的数学模型
代入三相异步电动机在两相坐标系上的数学模型
三相异步电动机在两相坐标系上的数学模型
三相异步电动机在两相坐标系上的数学模型为dq0旋转坐标系对于定子的角速度
由于三相异步电动机在两相坐标系上的数学模型为任意值因此下式三式成立
三相异步电动机在两相坐标系上的数学模型
同理转子电压方程为
三相异步电动机在两相坐标系上的数学模型
式中三相异步电动机在两相坐标系上的数学模型为dq0旋转坐标系相对于转子的角速度
同理利用B相和C相的电压方程求出的结果与上面一致。
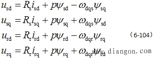
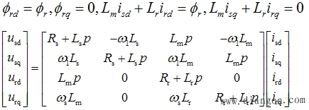
(2)电压方程
上面的方程整理有定子和转子的电压方程
三相异步电动机在两相坐标系上的数学模型
三相异步电动机在两相坐标系上的数学模型
三相异步电动机在两相坐标系上的数学模型
三相异步电动机在两相坐标系上的数学模型
旋转电动势向量
三相异步电动机在两相坐标系上的数学模型
则式(6-106a)变成
三相异步电动机在两相坐标系上的数学模型

这就是异步电机非线性动态电压方程式。与第6.6.2节中ABC坐标系方程不同的是:此处电感矩阵 L 变成 4三相异步电动机在两相坐标系上的数学模型4 常参数线性矩阵,而整个电压方程也降低为4维方程。
(3)转矩和运动方程

dq坐标系上的转矩方程为三相异步电动机在两相坐标系上的数学模型
运动方程与坐标变换无关,仍为三相异步电动机在两相坐标系上的数学模型
其中三相异步电动机在两相坐标系上的数学模型——电机转子角速度。
阶数下降,但非线性、强耦合、多变量性质未变。
异步电机在dq坐标系上的动态等效电路
三相异步电动机在两相坐标系上的数学模型
2. 异步电机在三相异步电动机在两相坐标系上的数学模型坐标系上的数学模型
在静止坐标系三相异步电动机在两相坐标系上的数学模型上的数学模型是任意旋转坐标系数学模型当坐标转速等于零时的特例。当三相异步电动机在两相坐标系上的数学模型时,三相异步电动机在两相坐标系上的数学模型,即转子角转速的负值,并将下角标三相异步电动机在两相坐标系上的数学模型改成三相异步电动机在两相坐标系上的数学模型,则式(6-105)的电压矩阵方程变成
三相异步电动机在两相坐标系上的数学模型
而式(6-103a)的磁链方程改为
三相异步电动机在两相坐标系上的数学模型
利用两相旋转变换阵三相异步电动机在两相坐标系上的数学模型,可得
三相异步电动机在两相坐标系上的数学模型
代入式(6-107)并整理后,即得到三相异步电动机在两相坐标系上的数学模型坐标上的电磁转矩
三相异步电动机在两相坐标系上的数学模型

式(6-108)~式(6-110)再加上运动方程式便成为三相异步电动机在两相坐标系上的数学模型坐标系上的异步电机数学模型。这种在两相静止坐标系上的数学模型又称作Kron的异步电机方程式或双轴原型电机(Two Axis Primitive Machine)基本方程式。
3. 异步电机在两相同步旋转坐标系上的数学模型
另一种很有用的坐标系是两相同步旋转坐标系,其坐标轴仍用d,q表示,只是坐标轴的旋转速度三相异步电动机在两相坐标系上的数学模型等于定子频率的同步角转速三相异步电动机在两相坐标系上的数学模型。而转子的转速为三相异步电动机在两相坐标系上的数学模型,因此 dq 轴相对于转子的角转速三相异步电动机在两相坐标系上的数学模型,即转差。代入式(6-105),即得同步旋转坐标系上的电压方程
在二相同步旋转坐标系上的电压方程

三相异步电动机在两相坐标系上的数学模型

磁链方程、转矩方程和运动方程均不变。
两相同步旋转坐标系的突出特点是,当三相ABC坐标系中的电压和电流是交流正弦波时,变换到dq坐标系上就成为直流。
4、按转子磁场定向下的数学模型
在dq坐标系放在同步旋转磁场下使d轴与转子磁场的方向重合此时转子的d轴的磁通分量为0,既有下式。带入式(6-111)

三相异步电动机在两相坐标系上的数学模型
三四行出现零元素,减少了耦合,简化了模型
上式中解得三相异步电动机在两相坐标系上的数学模型,带入dq坐标系中的转矩方程有如下结果,
三相异步电动机在两相坐标系上的数学模型

这个关系和直流电机的转矩方程非常接近了,如果是鼠笼电机结果会更加简单。

    相关阅读

    过电流保护与速断保护的作用范围

    电力 系统的输电线路、发电机、变压器等元件发生故障时,系统中会通过短路电流,且故障点距离越靠近电源 ,短路电流就越大。针对这个特点,利用电流继电器 可以很方便地构成过...
    2023-03-21

    9V稳压电源电路图分享

    让我们创建一个 9V 稳压电源电路来代替 9 伏电池。这些电路可以提供比电池多 10 倍的电流,并节省我们在电池耗尽时更换电池的时间和金钱。它们也比普通开关电源更安全。要了解更...
    2023-08-01
    9V稳压电源电路图分享

    片式电容器开裂、短路的原因

    片式电容具有片式电容,容易片式化等特点,是当今移动通信设备、计算机板卡以及家电遥控中使用最多的元件之一。 很多客户在使用片式电容器时都会遇到开裂、短路、烧损等现象,...
    2023-03-31
    片式电容器开裂、短路的原因

    电工必备-单控 双控 三控 四控 开关的接线,学会不求人!

    有好多朋友私信小编,问双控怎样接线?今天就给朋友们分享一下关于开关接线图,相信看完这些,您一定会明白,好东西大家一起分享,感觉文章不错,欢迎分享给您的其他朋友,大...
    2023-06-11
    电工必备-单控 双控 三控 四控 开关的接线,学会不求人!

    电容10uf和0.1uf并联使用的技巧

    在某些特定的电路中,采用双通道(大容量的小电容器)或者多通道(三个以上的小电容器,为了提高频率性能),在电容器的地端处(地线的宽度和宽度会导致频率特征),比如在...
    2023-03-31
    电容10uf和0.1uf并联使用的技巧

    热销商品

    加厚abs安全帽电工建筑工地程施工领导监理透气防砸头盔可印字V型

    这款加厚ABS安全帽专为电工、建筑工地施工人员、领导及监理设计,采用高强度ABS工程塑料,抗冲击、防砸性能优异,有效保障头部安全。帽体加厚设计,增强耐用性与防护等级...
    5.8

    水口钳高硬度模型剪钳电子钳工业级口水剪斜嘴钳偏口斜口专用钳子

    水口钳高硬度模型剪钳是一款工业级精密工具,专为电子、模型制作及精细作业设计。采用优质高碳钢材质,经热处理工艺打造,具备卓越的硬度和耐磨性,可轻松剪切金属引脚、...
    4.8

    170电子剪钳II 如意斜口钳 工业斜嘴钳水口钳 模型剪塑胶钳尖嘴钳

    170电子剪钳II如意斜口钳是一款专业级精密工具,集工业斜嘴钳、水口钳、模型剪、塑胶钳与尖嘴钳功能于一体,适用于电子维修、模型制作、手工艺及精密作业。其采用优...
    4.5

    安全帽国标工地加厚施工领导透气安全头盔建筑工程监理免费印字

    本款安全帽严格遵循国家GB 2811-2019标准,专为建筑工程、工地施工及监理人员设计。采用高强度ABS工程塑料,加厚壳体有效抗冲击,保障头部安全。帽体轻盈透气,内置可调...
    10

    包邮三角型简易螺丝刀三角十字螺丝刀螺丝批改锥起子五金工具5mm

    这款5mm三角型简易螺丝刀,专为拧紧或拆卸三角形螺丝设计,适用于电子维修、家电维护及精密仪器装配等场景。采用优质合金钢材质,刀头硬度高、耐磨损,确保长久使用不变...
    3.64

    网站栏目