机械特性指转速 n与转矩 T之间的关系。有物理表达式,参数表达式,实用表达式。
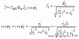
一、物理表达式:  将 曲线与 曲线相乘,再乘以转矩常数等就可得到 曲线。

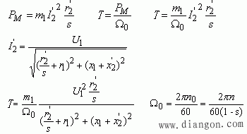
二、参数表达式:
为反映电机参数与电磁转矩的关系,从电机的等值电路图及电磁转矩的公式推导参数表达式:
这样可绘制机械特性曲线,曲线形式与物理表达式绘制的一样。是s的二次曲线。
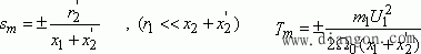
将上述转矩公式对转差率s求导数,可得到临界转差率和最大转矩公式。 
分析:
1、各参数及电源频率不变时,临界转差与定子相电压无关;而 。 2、 不变时,临界转差和最大电磁转矩反比于 。 3、最大电磁转矩与转子电阻无关,临界转差与转子电阻成正比。当转子回路串入电阻使临界转差等于1时,可求出转子外串的电阻值;过载倍数: 电机短时过载的极限。 4、起动转矩:当S=1时的电磁转矩:
起动转矩倍数: ,只有当 时,电机才能起动。 三、实用表达式:
一般电机产品目录中,有些参数没有,用参数表达式不方便,因此将M的参数表达式除以Mm参数表达式,并代入Sm值,有  这种实用表达式中只有两个未知数,可绘制机械特性。 总之:物理表达式用于定性分析转矩与磁通,转子电流间的关系;参数表达式用于分析电机参数变化对电机运行性能的影响。实用表达式用于工程计算。 |