电容的主要作用是贮存电能。它由两片金属中间夹绝缘介质构成。由于存在绝缘电阻(绝缘介质的损耗)和引线电感。而引线电感在工作频率较低时,可以忽略其影响。因此,电容的测量主要包括电容量值与电容器损耗(通常用损耗因数D表示)两部分内容,有时需要测量电容器的分布电感。
一、谐振法测量电容量
将交流信号源、交流电压表、标准电感L和被测电容Cx连成如图1所示的并联电路,其中C0为标准电感的分布电容。
测量时,调节信号源的频率,使并联电路谐振,即交流电压表读数达到最大值,反复调节几次,确定电压表读数最大时所对应的信号源的频率?,则被测电容值Cx为

图1 并联谐振法测量电容量
二、交流电桥法测量电容量和损耗因数
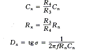
交流电桥有如图2(a)和(b)所示的串联和并联两种电桥。 对于如图2(a)所示的串联电桥,Cx为被测电容,Rx为其等效串联损耗电阻,由电桥的平衡条件可得




图2 测量电容的交流电桥
测量时,先根据被测电容的范围,通过改变R3来选取一定的量程,然后反复调节R4和Rn使电桥平衡,即检流计读数最小,从R4,Rn刻度读Cx和Dx的值。这种电桥适用于测量损耗小的电容器。
对于如图2(b)所示的并联电桥,Cx为被测电容,Rx为其等效并联损耗电阻,测量时,调节Rn和Cn使电桥平衡,此时
这种电桥适于测量损耗较大的电容器。
三、用万用表估测电容
用模拟式万用表的电阻档测量电容器,不能测出其容量和漏电阻的确切数值,更不能知道电容器所能承受的耐压,但对电容器的好坏程度能粗略判别,在实际工作中经常使用。
1.估测电容量
将万用表设置在电阻档,表笔并接在被测电容的两端,在器件与表笔相接的瞬间,表针摆动幅度越大,表示电容量越大,这种方法一般用来估测0.01μF以上的电容器。
2.电容器漏电阻的估测
除铝电解电容外,普通电容的绝缘电阻应大于10MΩ,用万用表测量电容器漏电阻时,万用表置x1k或x10k倍率档,当表笔与被测电容并接的瞬间,表针会偏转很大的角度,然后逐渐回转,经过一定时间,表针退回到∞Ω处,说明被测电容的漏电阻极大,若表针回不到∞Ω处,则示值即为被测电容的漏电阻值。铝电解电容的漏电阻应超过200k?才能使用。若表针偏转一定角度后,无逐渐回转现象,说明被测电容已被击穿,不能使用了。