一阶电路的阶跃响应

时间:2023-03-14来源:佚名
    零状态电路对于单位阶跃输入信号的响应,称为阶跃响应,并用 s(t) 表示。

1、RC电路的阶跃响应

一阶电路的阶跃响应
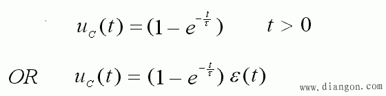
    图示电路,在 t=0 时开关打向电压源,C 上的电压可表示为:

一阶电路的阶跃响应

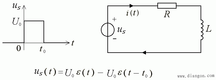
2、RL 电路对矩形电压脉冲响应

一阶电路的阶跃响应

    如图示,激励源可表示为两个阶跃函数的线性叠加,求 i ( t ) 。

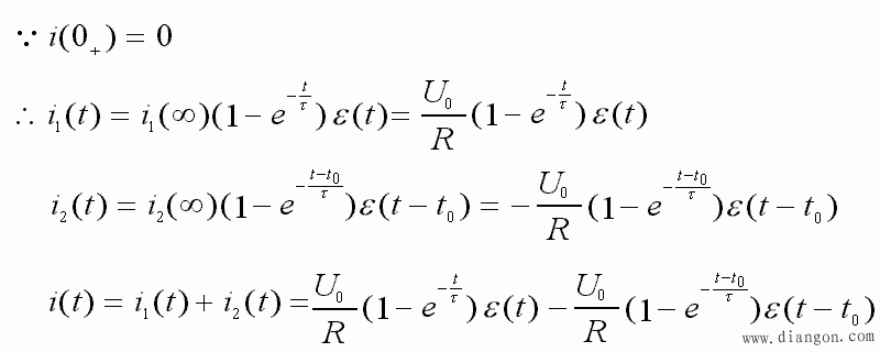
    用两种方法求解如下:

    i (t) 也可表示为两个激励分别作用时响应 i1(t) 和 i2(t) 的叠加,则:

一阶电路的阶跃响应

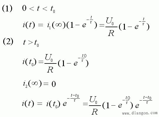
    分时间段求解,如下:

一阶电路的阶跃响应
一阶电路的阶跃响应

    相关阅读

    电磁铁磁力大小的影响因素

    本文介绍了电磁铁的磁力大小的影响因素,电磁铁的磁力大小与线圈匝数有关,线圈匝数多,磁力大,线圈匝数少,磁力小,下面与电工之友小编一起来看下。 影响电磁铁磁力大小的因...
    2023-06-26
    电磁铁磁力大小的影响因素

    电工保命插头的原理和制作方法

    今天咱们来聊聊电工行业,保命插头的制作方法。 电工行业是个很危险的行业,安全意识需要处处紧绷。在长期的工作中,电工师傅们也探索出了很多的小工具用以保护自己的人身安全...
    2023-04-04
    电工保命插头的原理和制作方法

    电工基础知识学习:电机绝缘电阻正确的测量步骤,你真的会吗?

    如果是三相交流电机,测量电机三相绕组的相间和对地的绝缘电阻。 如果是直流电机,测量电机电枢绕组对地,串激绕组对地,他激绕组对地,串激绕组对他激绕组。 按被测电机电压...
    2024-03-27
    电工基础知识学习:电机绝缘电阻正确的测量步骤,你真的会吗?

    真是人才,干了二十年电工,第一次见配电箱这样接线!

    近日,小编在网络上看到一位老电工新接的配电箱,这个新接的配电箱在网络上引起了广泛的关注,有些们对这位老电工的技艺和创造力表示赞赏,然而,也有一些电工持不同看法,他们认为这位...
    2024-08-12
    真是人才,干了二十年电工,第一次见配电箱这样接线!

    变配电安全操作规程

    一、停送电操作顺序 1 、高压隔离开关操作顺序: ( 1 )断电操作顺序: A 、断开低压各分路空气开关 ,隔离开关。 B 、断开低压总开关。 C 、断开高压油开关。 D 、断开高压隔离开...
    2023-03-21

    热销商品

    加厚abs安全帽电工建筑工地程施工领导监理透气防砸头盔可印字V型

    这款加厚ABS安全帽专为电工、建筑工地施工人员、领导及监理设计,采用高强度ABS工程塑料,抗冲击、防砸性能优异,有效保障头部安全。帽体加厚设计,增强耐用性与防护等级...
    5.8

    水口钳高硬度模型剪钳电子钳工业级口水剪斜嘴钳偏口斜口专用钳子

    水口钳高硬度模型剪钳是一款工业级精密工具,专为电子、模型制作及精细作业设计。采用优质高碳钢材质,经热处理工艺打造,具备卓越的硬度和耐磨性,可轻松剪切金属引脚、...
    4.8

    170电子剪钳II 如意斜口钳 工业斜嘴钳水口钳 模型剪塑胶钳尖嘴钳

    170电子剪钳II如意斜口钳是一款专业级精密工具,集工业斜嘴钳、水口钳、模型剪、塑胶钳与尖嘴钳功能于一体,适用于电子维修、模型制作、手工艺及精密作业。其采用优...
    4.5

    安全帽国标工地加厚施工领导透气安全头盔建筑工程监理免费印字

    本款安全帽严格遵循国家GB 2811-2019标准,专为建筑工程、工地施工及监理人员设计。采用高强度ABS工程塑料,加厚壳体有效抗冲击,保障头部安全。帽体轻盈透气,内置可调...
    10

    包邮三角型简易螺丝刀三角十字螺丝刀螺丝批改锥起子五金工具5mm

    这款5mm三角型简易螺丝刀,专为拧紧或拆卸三角形螺丝设计,适用于电子维修、家电维护及精密仪器装配等场景。采用优质合金钢材质,刀头硬度高、耐磨损,确保长久使用不变...
    3.64

    网站栏目