预防触电的措施
|
1、预防触电的技术措施 包括:采用保护接地、保护接零、绝缘、屏护、间距、漏电保护装置、使用安全电压。 (1)安全接地 防止接触电压触电、跨步电压触电。 包括:电气设备外壳(或构架)保护接地、保护接零或零线的重复接地。 (a)保护接地 方法:将一切正常时不带电而在绝缘损坏时可能带电的金属部分与独立的接地装置相连,从而防止工作人员触及时发生触电事故。 保护接地是利用接地装置足够小的接地电阻值,降低故障设备外壳可导电部分对地电压,减小人体触及时流过人体的电流,达到防止接触电压触电的目的。 ①中性点不接地系统的保护接地 (i)无采用保护接地时 流过人体的电流:
接触电压:
(ii)采用保护接地时 保护接地电阻Rb与人体电阻Rr并联,由于Rb << Rr ,则:
适当选择Rb即可避免人体触电。 ②中性点直接接地系统的保护接地 (i)无保护接地时:
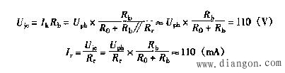
以380/220v低压系统为例,若人体电阻Rr=1000Ω,Ro=4 Ω ,则流过人体的电流Ir=220mA,作用于人体电压Ujc=220v,足以使人致命。
(ii)有保护接地时 设保护接地电阻Rb=4Ω,
在中性点直接接地的低压系统中,电气设备的外壳采用保护接地仅能减轻触电的危险程度,并不能保证人身安全; 在高压系统中,其作用就更小。 (b)保护接零及零线的重复接地 ①保护接零 在中性点直接接地的低压供电网络,一般采用的是三相四线制的供电方式。将电气设备的金属外壳与电源(发电机或变压器)接地中性线(零线)作金属性连接,这种方式称为保护接零。
采用保护接零时,当电气设备某相绝缘损坏碰壳,接地短路电流流经短路线和接地中性线构成回路.由于接地中性线阻抗很小,接地短路电流Ik较大、足以使线路上或电源处的自动开关或熔断器以很快的时限将设备从电网中切除,使故障设备停电。另外,人体电阻远大于接零回路中的电阻,即使在故障未切除前,人体触到故障设备外壳,接地短路电流几乎全部通过接零回路,也使流过人体的电流接近于零,保证了人身安全。 ②零线的重复接地 运行经验表明,在保护接零的系统中,只在电源的中性点处接地还不够安全,为了防止接地中性线的断线而失去保护接零的作用,还应在零线的一处或多处通过接地装置与大地连接,即零线重复接地,如图所示。 在保护接零的系统中,若零线不重复接地,当零线断线时,只有断线处之前的电气设备的保护接零才有作用,人身安全得以保护;在断线处之后,当设备某相绝缘损坏碰壳时,设备外壳带有相电压,仍有触电的危险。即使相线不碰壳,在断线处之后的负荷群中,如果出现三相负荷不平衡(如一相或两相断开),也会使设备外壳出现危险的对地电压,危及人身安全。 采用了零线的重复接地后,若零线断线,断线处之后的电气设备相当于进行了保护接地,其危险性相对减小。 2、安全接地的注意事项 电气设备的保护接地、保护接零及零线的重复接地都是为了保证人身安全的,故统称为安全接地。为了使安全接地切实发挥作用,应注意以下问题: ① 同一系统(同一台变压器或同一台发电机供电的系统)中,只能采用一种安全接地的保护方式,不可一部分设备采用保护接地,另一部分设备采用保护接零。 ②应将接地电阻控制在允许范围之内。 ③中性线的主干线不允许装设开关或熔断器。 ④各设备的保护接零线不允许串接,应各自与中性线的干线直接相连。 ⑤在低压配电系统中,不准将三眼插座上接电源中性线的孔同接地线的孔串接,否则零线松掉或折断,就会使设备金属外壳带电;若零线和相线接反,也会使外壳带上危险电压。 (2)绝缘 由绝缘材料将导电部分封闭、遮盖、隔离开来,可防止人体触及带电体。 (3)屏护 若电气设备和线路的带电部分不便绝缘或绝缘不保证安全,则采用屏护装置。 常用屏护装置:遮拦、护罩、护网、隔板、箱匣等。 屏蔽带电体应涂上红(禁止标志)、蓝(指令标志)、黄(警告标志)、绿(指示标志)。 (4)间距 带电体与地面,带电体与带电体,带电体与其他设备的安全距离.与电压高低、设备类型、安装方式等有关。 (5)安全电压 人体较长时间接触而没有触电危险的电压。42、36、12V. |










