变压器过电流保护
时间:2023-03-15来源:佚名
|
1.变压器过电流保护的单相原理接线如下图所示。
2.保护的起动电流按躲过变压器的最大负荷电流整定
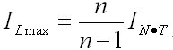
(1)对并联运行的变压器,应考虑切除一台变压器后的负荷电流。当各台变压器的容量相同时,可按下式计算:
(2)对降压变压器,应考虑负荷中电动机自起动时的最大电流:
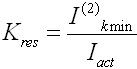
4.保护的灵敏系数按下式校验
要求:作为近后备保护,取变压器低压侧母线为校验点,要求Ksen=1.5~2.0;作为远后备保护,取相邻线路末端为校验点,要求Ksen≥1.2。 5.保护的动作时限 应比相邻元件保护的最大动作时限大一个阶梯时限△t。 |













