中性点可能接地或不接地运行时变压器的零序电流电压保护
时间:2023-03-15来源:佚名
|
1.全绝缘变压器 (1)全绝缘变压器零序保护原理接线图
(2)零序电压元件的动作电压整定 按躲过在部分接地的电网中发生接地短路时保护安装处可能出现的最大零序电压整定。 (3)保护的动作时限t5 t5 =0.3~0.5s 2.分级绝缘变压器 (1)分级绝缘变压器零序保护原理接线
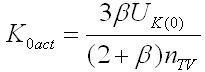
(2)分级绝缘变压器零序保护组成 由零序电压保护、零序电流保护、间隙零序电流保护共同构成。 (3)分级绝缘变压器零序保护原理 当系统发生一点接地,中性点接地运行的变压器由其零序电流保护动作于切除。若高压母线上已没有中性点接地运行的变压器,而故障仍然存在时,中性点电位将升高,发生过电压而导致放电间隙击穿,此时中性点不接地运行的变压器将由反应间隙放电电流的零序电流保护瞬时动作于切除。如果中性点过电压值不足以使放电间隙击穿,则可由零序电压保护带0.3~0.5S的延时将中性点不接地运行的变压器切除。 4)零序电压元件的起动电压的整定 ①应低于变压器中性点工频耐受电压:
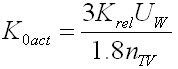
②躲过电网存在中性情况下单相接地短路时的最大零序电压:
一般 5)放电间隙零序电流保护的起动电流 击穿电流根据经验数据整定,一般一次值为100A。 |




=180V







