配电网的电压计算
时间:2023-03-15来源:佚名
|
电力系统的基本任务是安全、可靠、经济地为用户提供充足的电能。为了完成这一基本任务,在电力系统的规划、设计和运行过程中需要进行一系列技术和经济的分析和计算。本文讲解配电网的电压计算,配电网的损耗计算与降损措施,配电网的潮流计算以及配电网的无功补偿和电压调整等。
当输电线路传输功率时,电流将在线路的阻抗上产生电压降落。为了使分析简便,输电线路采用集中参数等值电路,暂时不考虑电容的影响。 一、配电网的电压降落 电压降落:指线路首末两端电压的相量差。见图1。
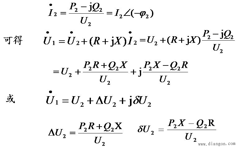
1.已知环节末端电压及功率 以末端电压为参考相量,负荷为感性,见图2。 末端电压降落的纵、横分量见图3。
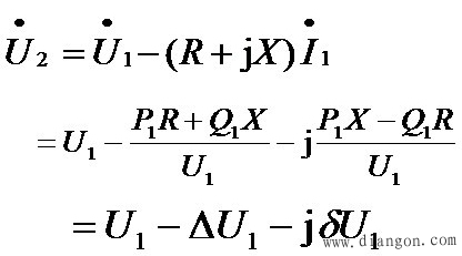
2.已知环节首端电压及功率,参照上述推导,见图4。首端电压降落的纵、横分量见图5。
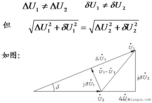
注意:当已知末端的电压及功率求首端的电压时,取末端电压为参考相量;当知首端的电压及功率求末端电压时,取首端电压为参考相量。见图6。
二、配电网的电压损耗 电压损耗指线路首末两端电压的数值差。电压损耗的大小为图7中的AG。如忽略其横分量,电压损耗由两部分组成的,见图8。
式中第一部分与有功功率和电阻有关,第二部分与无功功率和电抗有关,这些因素对电压损耗值的影响程度是由电网特性所决定的。 三、配电网的电压偏移 电压偏移是指线路首端或末端电压与线路额定电压的数值差 。电压偏移常用百分值表示,见图9。 常以电压损耗和电压偏移作为衡量电压质量的主要指标。
|
















