放大电路中的负反馈
|
掌握放大电路中负反馈的四种组态及其判别方法,熟悉负反馈对放大电路性能的影响。
1、负反馈的类型
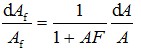
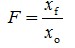
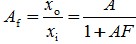
根据反馈电路与放大电路在输入端和输出端的连接方式,负反馈分为四种方式:串联电压负反馈、并联电压负反馈、串联电流负反馈和并联电流负反馈 ![]() (1) 首先,以瞬时极性法确定反馈属于正反馈还是负反馈。 (2) 其次,判别区分电压反馈或电流反馈: a) 电压反馈:反馈信号取自输出电压,并与之成比例; b) 电压反馈:反馈信号取自输流电压,并与之成比例; c) 判别方法: 输出电压短路法:将输出电压“短路”,若反馈信号消失,为电压反馈,否则为电流反馈; 观察法:除公共地线,若反馈线与输出线接在同一点上,为电压反馈,否则为电流反馈。 (3) 然后,判别区分串联反馈或并联反馈: a) 串联反馈:反馈信号输入信号在电路输入端以电压形式作比较,两者串联; b) 并联反馈:反馈信号输入信号在电路输入端以电流形式作比较,两者并联; c) 判别方法: 输入短路法:将输入信号“短路”,若反馈信号消失,为并联反馈,否则为串联反馈; 观察法:若反馈信号与输入信号接到放大电路的同一输入端,为并联反馈,否则为串联反馈。 3、负反馈对放大电路工作性能的影响(1) 降低放大倍数 基本放大电路的增益(开环增益)为 反馈信号与输出信号之比称为反馈系数,以F表示 引入负反馈后,整个放大器的增益(闭环增益)为 可见,引入负反馈后,电路增益为原来的1/(1 AF)。 (1 AF)称为反馈深度,其值越大,负反馈作用越强,|Af|越小。|1 AF|>>1,称为深度负反馈,有 表明在深度负反馈情况下,闭环增益取决于反馈元件,而与开环增益无关。 (2) 提高增益的稳定性 对式(3)求导,得 电压负反馈稳定输出电压,电流负反馈稳定输出电流。 (3) 减小输出波形的非线性失真 (4) 展宽通频带 (5) 影响电路输入、输出电阻 串联负反馈增大输入电阻,并联负反馈减小输入电阻; 电压负反馈减小输出电阻,电流负反馈增大输出电阻。 |

(1)
(2)
(3)
(4)
(5) 




