三点式振荡电路的电路原理、等效电路、参数以及特点
时间:2023-03-15来源:佚名
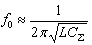
(1)电容三点式电路 图1 电容三点式振荡电路 图1是一种电容三点式振荡电路(又称考毕兹电路电路),(a)为原理电路,(b)为交流通路。图中,C1、C2是回路电容,L是回路电感,CE高频旁路电容,Cc是耦合电容。一般来讲,高频旁路电容与耦合电容都比回路电容大一个数量级以上,对于高频电路来讲可视为短路。分析可得:
|
(1)电容三点式电路 图1 电容三点式振荡电路 图1是一种电容三点式振荡电路(又称考毕兹电路电路),(a)为原理电路,(b)为交流通路。图中,C1、C2是回路电容,L是回路电感,CE高频旁路电容,Cc是耦合电容。一般来讲,高频旁路电容与耦合电容都比回路电容大一个数量级以上,对于高频电路来讲可视为短路。分析可得:
|







