三相感应电动机的磁动势和磁场

时间:2023-03-15来源:佚名

一、负载时的物理情况:

1、空载时的电磁关系:
三相感应电动机的磁动势和磁场
2、负载时转子磁动势三相感应电动机的磁动势和磁场
  以同步速旋转的旋转磁动势。
  1)绕线式转子绕组是三相的,电流则为三相的,磁动势就为旋转的;笼型转子是多相的,电流也是多相的,合成磁动势可用矩形磁动势波叠加的方法分析出,磁动势为旋转的,且近似按正弦规律分布。
  2)三相感应电动机的磁动势和磁场的旋转方向与三相感应电动机的磁动势和磁场的相同。是电流相序的方向。
  3)转速:转子转速为三相感应电动机的磁动势和磁场,磁场为三相感应电动机的磁动势和磁场,磁场以三相感应电动机的磁动势和磁场切割转子绕组,若极对数为p , 则转子中感应电动势频率为:
   三相感应电动机的磁动势和磁场
  这样,转子磁动势相对于转子本身转速为
   三相感应电动机的磁动势和磁场
  可知,三相感应电动机的磁动势和磁场相对于定子的转速为三相感应电动机的磁动势和磁场 。与定子磁动势三相感应电动机的磁动势和磁场的转速相同。

3、负载时磁动势平衡关系:

  三相感应电动机的磁动势和磁场三相感应电动机的磁动势和磁场同为旋转磁动势,且转向和转速都相同,相对静止,可以将其合成。合成磁动势三相感应电动机的磁动势和磁场在气隙中产生旋转磁场。而空载时,也有一合成旋转磁势三相感应电动机的磁动势和磁场三相感应电动机的磁动势和磁场三相感应电动机的磁动势和磁场的关系如何?

  感应机正常运行时,电源电压不变,因此,与变压器一样,从空载到负载过程中,认为定子绕组内的感应电势变化很小,认为空载和负载时的主磁通不变。即有:三相感应电动机的磁动势和磁场 。因此,负载时三相感应电动机的磁动势和磁场 可分解为两部分:
  三相感应电动机的磁动势和磁场

  一部分用以抵消转子磁动势三相感应电动机的磁动势和磁场 ,一部分用以产生主磁通三相感应电动机的磁动势和磁场 。它们之间的相互关系?它们与电流的关系如何?
  定子、转子磁动势是以同步速旋转的矢量, 定子、转子电流是以同步速旋转的相量; 旋转磁动势与对应相电流有关系:当某一相的电流达最大值时,三相基波合成磁动势 的幅值正好在这一相绕组的轴线上。利用相矢图(将相量图与矢量图合并在一起): 有: 三相感应电动机的磁动势和磁场 , 三相感应电动机的磁动势和磁场三相感应电动机的磁动势和磁场 同相。-三相感应电动机的磁动势和磁场三相感应电动机的磁动势和磁场 同相。
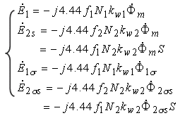
4、电磁关系:

   三相感应电动机的磁动势和磁场
 有效值方程三相感应电动机的磁动势和磁场
 相量方程三相感应电动机的磁动势和磁场
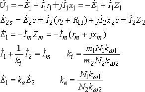
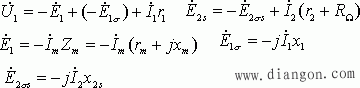
二、基本方程式:    

1、磁动势平衡方程式: 三相感应电动机的磁动势和磁场
  相电流与磁动势关系为:
   三相感应电动机的磁动势和磁场
  磁动势矢量方向与电流相量的方向一致,则有:
   三相感应电动机的磁动势和磁场 
   三相感应电动机的磁动势和磁场
2、电动势平衡方程式
   三相感应电动机的磁动势和磁场
于是感应电动机负载时基本方程式可改写为:
   三相感应电动机的磁动势和磁场

相关阅读

安装强电的电工可以安装弱电线路吗?

近年来,一些业主在装修时,弱电的布线往往是由装修公司的水电工完成的,而有的装修公司几乎没有经过专门培训的弱电工程师,因此施工质量很难得到保证,下面举例说明。 (1)...
2023-06-16
安装强电的电工可以安装弱电线路吗?

漏电断路器图工作原理、参数、选用及使用方法

(1)作用:主要用于当发生人身触电或漏电时,能迅速切断电源 ,保障人身安全,防止触电事故。有的漏电保护器 还兼有过载、短路保护,用于不频繁起、停电动机 。 (2)工作原理...
2023-03-21
漏电断路器图工作原理、参数、选用及使用方法

高速电路设计中耦合电容的关键作用

相对于需要进行复杂电路匹配的低频电路而言,高频电路的结构相对简单,但简单的结构往往意味着需要考虑更多的问题。以常见的AC耦合电容为例,要么在芯片之间加两颗直连,要么...
2023-06-26
高速电路设计中耦合电容的关键作用

贴片电容短路烧坏的原因有哪些,怎么确认?

很多人说贴片电容使用时会遇到电容烧毁等现象,那么碰到这些现象该如何应对呢,首先我们需要先找到原因,下面小编给大家分析一下原因。 一、短路烧毁是指电容在PCB板工作时出现...
2023-03-31
贴片电容短路烧坏的原因有哪些,怎么确认?

音调控制或有源均衡器电路设计

音调控制或有源均衡器电路,尤其是基于低音、高音和 MID 控制的均衡器是音频放大器设计中的重要电路。通常,三级有源均衡器滤波器需要三个控制低音、高音和 MID。低音控制允许低...
2023-08-31
音调控制或有源均衡器电路设计

热销商品

加厚abs安全帽电工建筑工地程施工领导监理透气防砸头盔可印字V型

这款加厚ABS安全帽专为电工、建筑工地施工人员、领导及监理设计,采用高强度ABS工程塑料,抗冲击、防砸性能优异,有效保障头部安全。帽体加厚设计,增强耐用性与防护等级...
5.8

欧普led筒灯3w孔灯超薄桶灯吊顶天花灯过道嵌入式洞灯客厅5w

欧普LED筒灯是一款高品质嵌入式照明产品,适用于客厅、过道、吊顶等多种场景。采用优质LED光源,提供3W和5W两种功率选择,光线柔和均匀,显色指数高,有效还原真实色彩。超...
7.45

水口钳高硬度模型剪钳电子钳工业级口水剪斜嘴钳偏口斜口专用钳子

水口钳高硬度模型剪钳是一款工业级精密工具,专为电子、模型制作及精细作业设计。采用优质高碳钢材质,经热处理工艺打造,具备卓越的硬度和耐磨性,可轻松剪切金属引脚、...
4.8

170电子剪钳II 如意斜口钳 工业斜嘴钳水口钳 模型剪塑胶钳尖嘴钳

170电子剪钳II如意斜口钳是一款专业级精密工具,集工业斜嘴钳、水口钳、模型剪、塑胶钳与尖嘴钳功能于一体,适用于电子维修、模型制作、手工艺及精密作业。其采用优...
4.5

安全帽国标工地加厚施工领导透气安全头盔建筑工程监理免费印字

本款安全帽严格遵循国家GB 2811-2019标准,专为建筑工程、工地施工及监理人员设计。采用高强度ABS工程塑料,加厚壳体有效抗冲击,保障头部安全。帽体轻盈透气,内置可调...
10

网站栏目