开关电源设计中用Mathcad使用技巧
|
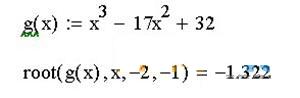
Mathcad在我们平常的电源设计中,起到了非常重要的作用,有时甚至被工程师们称为“办公计算利器”Mathcad渐渐成了一个必不可少的工具,它可以使我们的工作效率提高。对于Mathcad,大多工程师并没有经过系统的学习,基本都是自学的,看着一些例子依葫芦画瓢。本文中将分享一些关于在电源设计中用到Mathcad的一些技巧。 其中主要有以下几方面内容: 1、快速掌握快捷键。说到快捷键,大家估计很多看了就忘了,其实我们需要记忆一些重要的常用的即可,这样可以帮助我们快速的生成公式。 2、用5种方法求方程的根 1)调用root(f(x), x, [a, b])函数计算。这个函数表示当发f(x)=0的时候,x的根落在区间 [a, b]的值。知道区间,也是预先估值了,但不用写出来。
2)调用root(f(x), x)函数计算,其实与1差不多,要先估值。
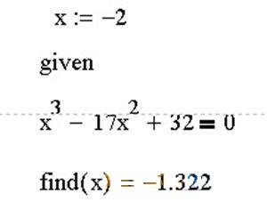
3)调用Given…Find 求解模块,也是要先估值。
以上3种实现方法,有个共同点就是需要先估值。 4)调用polyroots(v) 函数计算,其中v为多项式的系数向量。
5)调用solve函数。比如求解方程:m3-m2-2m=0
3、画bode图并用root函数求穿越频率。关于用Mathcad画bode图的例子如下,同时用root函数求根。
4、3D显示的一个简单例子
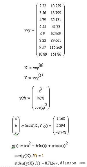
5、回归拟合函数的应用(为离散数据找出近似表达式) 在电源开发的数据处理中,经常得到一些离散数据,比如效率数据、寄生参数等等。一些数据看似没有规律,实际可以利用Mathcad的回归拟合函数来得到近似表达式,为进一步的数据分析提供依据。下面演示一个拟合例子:
虚线为离散的数据点, 红线为拟合出来的表达式,可见拟合效果不错,基本重合。
一般要拟合的比较接近,都要经过多次的尝试,有些甚至找不到合适的表达式。 6、Mathcad的编程应用 下面看看Mathcad的编程,这个在一些场合应用非常方便。简单的例子:求出17、18、23、46、58这几个数中的最大值。首先调出编程面板,然后点add line。
编程实现:
|



















