示波器的插值模式
时间:2023-03-15来源:佚名
|
1 背景 我们会针对所测试的信号,选择合适的采样率来采集信号。通过示波器的插值和抽取方式,人为地改变信号采样率。但还是要受限于示波器第一公式的限制: 表1给出了信号采样率的变化与插值和抽取方式的运用的对比,可以作为参考判断插值和抽取的适用情况。在前文中,已经对抽取做过分析,本文主要对示波器的三种插值方式做简单分析,帮助大家理解三种插值方式的差异。 表1 不同采样率对比
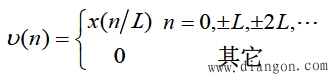
2 基本原理 降低波形采样率去掉过多数据的过程称为信号的“抽取”。提高波形采样率增加数据的过程称为信号的“插值”。信号的抽取与插值的结合使用使得信号显示出的采样率发生变化,本篇着重讨论数据插值对测试波形和采样率的影响。 设X(n)=x(t),通过插值方式,将采样率Fs增加L倍,在x(n)中每两个采样点之间补充L-1个0,组成一个新的序列v(n),即
信号插值框图见图2所示: 通过信号插值,提高采样率F=LFs。因此,在做信号插值时,会永远保证在采样信号时为过采样。但是在ADC采样率不足时,采用插值方式将会引起信号的失真。 2.2 信号的抽取 在对ADC采集的信号做数据抽取时,要特别关注采样率,避免出现欠采样,这是很多示波器使用者常常容易忽视的问题。不同的抽取方式,针对不同的测试信号,能够降低噪声对信号干扰,提高测试分辨率。因此,我们在使用抽取方式测试时,要“对症下药”。 3 示波器采样率 本文以R |











