2ask调制解调原理
|
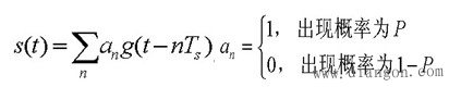
2ASK信号的产生方法通常有两种:模拟调制和键控法。解调有相干解调和非相干解调。P=1时f(t)=Acoswt;p=0时f(t)=0;其功率谱密度是基带信号功率谱的线性搬移。2ASK时域表示及波形,2ASK是利用代表数字信息("0"或"1")的基带矩形脉冲去键控一个连续的正弦型载波的振幅,使载波时断时续地输出。有载波输出时表示发送"1",无载波输出时表示发送"0"。 数字基带信号如式(1) 式中g(t)是宽度为Ts、高度为A的矩形脉冲。a n为数字序列{a n}的第n个码元的电平值。显然,上式给出的表达是单极性不归零码。载波 c(t)=COS(ωct 0 ), 初始相位 0 =0。
对应的波形如图2: 特点:"1"码期间有等幅正弦波输出,相当于开关开通;"0"码期间无输出,相当于开关切断。因此,数字调幅又称为开关键控(通断键控),记作OOK(On Off Keying)。
两种调制方法如图3: 图3 2ASK的两种调制方法 2ASK在matlab下的仿真如下: clear all close all i=10; j=5000; t=linspace(0,5,j);%取0,0.001,0.002,。。。5 共5001个点 fc=10; fm=i/5; B=2*fc; %产生基带信号 a=round(rand(1,i));%随机序列 figure(2) plot(rand(1,i)) st=t; for n=1:10 if a(n)<1; for m=j/i*(n-1) 1:j/i*n %一个信号取500个点 st(m)=0; end else for m=j/i*(n-1) 1:j/i*n st(m)=1; end end end figure(1); subplot(421); plot(t,st); axis([0,5,-1,2]); title('基带信号'); s1=cos(2*pi*fc*t); %载波 subplot(422); plot(s1); title('载波信号'); e_2ask=st.*s1; %调制 subplot(423); plot(t,e_2ask); title('已调信号'); noise =rand(1,j); e_2ask=e_2ask noise;%加入噪声 subplot(424); plot(t,e_2ask); title('加入噪声的信号'); at=e_2ask.*cos(2*pi*fc*t); %相干解调 at=at-mean(at); subplot(425); plot(t,at); title('相乘后信号'); [f,af] = T2F(t,at);%通过低通滤波器 [t,at] = lpf(f,af,2*fm); subplot(426); plot(t,at); title('解调后波形'); for m=0:i-1; %抽样判决 if at(1,m*500 250) 0.5<0.5; for j=m*500 1:(m 1)*500; at(1,j)=0; end else for j=m*500 1:(m 1)*500; at(1,j)=1; end end end subplot(427); plot(t,at); axis([0,5,-1,2]); title('抽样判决后波形')
|













