电容式传感器的优点与缺点
|
引言:电容式传感器是以各种类型的电容器作为传感元件,将被测转物理量或机械量换成为电容量变化的一种转换装置,实际上就是一个具有可变参数的电容器。电容式传感器广泛用于位移、角度、振动、速度、压力、成分分析、介质特性等方面的测量。的是平行板型电容器或圆筒型电容器。那么电容式传感器的到底有什么优点和缺点呢?
工作原理
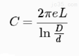
电容式传感器也常常被人们称为电容式物位计,电容式物位计的电容检测元件是根据圆筒形电容器原理进行工作的,电容器由两个绝缘的同轴圆柱极板内电极和外电极组成,在两筒之间充以介电常数为ε的电解质时,两圆筒间的电容量为式中:
L为两筒相互重合部分的长度;D为外筒电极的直径;d为内筒电极的直径;e为中间介质的电介常数。在实际测量中D、d、e是基本不变的,故测得C即可知道液位的高低,这也是电容式传感器具有使用方便,结构简单和灵敏度高,价格便宜等特点的原因之一。电容式传感器是以各种类型的电容器作为传感元件,由于被测量变化将导致电容器电容量变化,通过测量电路,可把电容量的变化转换为电信号输出。测知电信号的大小,可判断被测量的大小。这就是电容式传感器的基本工作原理。
优点
①温度稳定性好 电容式传感器的电容值一般与电极材料无关,这有利于选择温度系数低的材料,又因本身发热极小,影响稳定性甚微。而电阻传感器有铜损,易发热产生零漂。
②结构简单 电容式传感器结构简单,易于制造和保证高的精度,可以做得非常小巧,以实现某些特殊的测量;能工作在高温,强辐射及强磁场等恶劣的环境中,可以承受很大的温度变化,承受高压力,高冲击,过载等;能测量超高温和低压差,也能对带磁工作进行测量。
③动态响应好 电容式传感器由于带电极板间的静电引力很小(约几个10^(-5)N),需要的作用能量极小,又由于它的可动部分可以做得很小很薄,即质量很轻,因此其固有频率很高,动态响应时间短,能在几兆赫兹的频率下工作,特别适用于动态测量。又由于其介质损耗小可以用较高频率供电,因此系统工作频率高。它可用于测量高速变化的参数。
④可以非接触测量且灵敏度高 可非接触测量回转轴的振动或偏心率、小型滚珠轴承的径向间隙等。当采用非接触测量时,电容式传感器具有平均效应,可以减小工件表面粗糙度等对测量的影响。
电容式传感器除了上述的优点外,还因其带电极板间的静电引力很小,所需输入力和输入能量极小,因而可测极低的压力、力和很小的加速度、位移等,可以做得很灵敏,分辨力高,能感应0.01μm甚至更小的位移。由于其空气等介质损耗小,采用差动结构并接成电桥式时产生的零残极小,因此允许电路进行高倍率放大,使仪器具有很高的灵敏度。
缺点
①输出阻抗高,负载能力差。 无论何种类型的电容式传感器,受电极板几何尺寸的限制,其电容量都很小,一般为几十到几百皮法(pF),因此使电容式传感器的输出阻抗很高,可达 ~ Ω。由于输出阻抗很高,因而输出功率小,负载能力差,易受外界干扰影响而产生不稳定现象,严重时甚至无法工作。
②寄生电容影响大。 电容式传感器的初始电容量很小,而连接传感器和电子线路的引线电缆电容、电子线路的杂散电容以及电容极板与周围导体构成的电容等寄生电容却较大。寄生电容的存在不但降低了测量灵敏度,而且引起非线性输出。由于寄生电容是随机变化的.因而使传感器处于不稳定的工作状态.影响测量准确度。
应用 电容式传感器具有结构简单、耐高温、耐辐射、分辨率高、动态响应特性好等优点,广泛用于压力、位移、加速度、厚度、振动、液位等测量中。但在使用中要注意以下几个方面对测量结果的影响:①减小环境温度、湿度变化(可能引起某些介质的介电常数或极板的几何尺寸、相对位置发生变化);②减小边缘效应;③减少寄生电容;④使用屏蔽电极并接地(对敏感电极的电场起保护作用,与外电场隔离);⑤注意漏电阻、激励频率和极板支架材料的绝缘性。
|









