涡流与涡流损耗的小知识
时间:2022-12-10来源:佚名
|
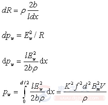
有关涡流与涡流损耗的知识,什么是涡流,什么是涡流效应,由于感应电势的存在,就会产生涡流与涡流损耗,如何来减少涡流损耗的产生,一起来看下。 1、涡流 铁芯可以导电,当穿过铁芯的磁通随时间变化时,铁芯中会产生感应电势,从而产生电流,这些电流在铁心内绕磁通做旋状流动,就会成为涡流。 2、涡流损耗 涡流在铁心中引起的损耗,称做涡流损耗。
|
|
有关涡流与涡流损耗的知识,什么是涡流,什么是涡流效应,由于感应电势的存在,就会产生涡流与涡流损耗,如何来减少涡流损耗的产生,一起来看下。 1、涡流 铁芯可以导电,当穿过铁芯的磁通随时间变化时,铁芯中会产生感应电势,从而产生电流,这些电流在铁心内绕磁通做旋状流动,就会成为涡流。 2、涡流损耗 涡流在铁心中引起的损耗,称做涡流损耗。
|








