功率分析仪的有功功率测量基本原理
时间:2023-03-06来源:佚名
|
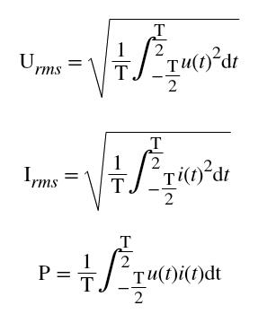
现今功率分析仪测量的基本原理为通用有功功率算法。功率分析仪的每个测量通道,对输入的电流或者电压信号进行采样,对采样得到的数据按下列所示公式进行计算获取结果:
比如在变频器应用,变频器的主电路一般为“交直交”架构组成,在整流回路中一般接有大电容,输入电流的波形不是正弦波;在逆变输出回路中,输出电压信号是受PWM载波信号调整的波形,输入输出都不是标准的正弦波,含有较多的高次谐波分量。 对输入测得有功率,传统的计算公式为:P=Urms*Irms*cosφ。其中P为有功功率,Urms为电压有效值,Irms为电流有效值,φ为电压电流夹角。 但是,变频器的输出电量含有高次谐波,很难测量出相位角,功率分析仪采用通用有功功率算法,对测定的整数周期内获取的瞬时电压、电流的乘积,再用整数周期对瞬时功率进行积分,即可获得瞬时功率的平均值,也就是所测的有功功率,如下图:
|









