永磁同步电机能效试验方法
时间:2023-03-06来源:佚名
|
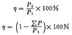
效率是以同一单位表示的输出功率与输入功率之比,通常以百分比表示。输出功率等于输入功率减去总损耗,若已知三个变量(输入,总损耗或输出)中的两个,就可以用下式1或式2求取效率:
P2——输出功率; ΣP——修正后输入功率; P1——输入功率。 GB 30253 永磁同步电动机能效限定值及能效等级对电机能效检测引用GB/T 22669 三相永磁同步电动机试验方法。对于异步起动三相永磁同步电动机电动机效率应按GB/T 22669中10.2.2的“测量输入-输出功率的损耗分析法(B法)”确定;对于电梯用永磁同步电动机、变频驱动永磁同步电动机的效率参照GB/T 22670中10.2.1“直接法——输入-输出法(A法)”确定。 1.异步起动三相永磁同步电动机效率试验方法——B法 B法——测量输入-输出功率的损耗分析法需要采用电功率测试仪器及转矩转速测试仪器对相关参数进行测量采集。 电量测量仪器的准确度应不低于0.5级。用B法测定电机效率时,为保持试验结果的准确性和重复性,要求仪器的准确度等级不低于0.2级(满量程)。 转矩测量仪一般试验用转矩测量仪(含测功机和传感器)的准确度等级应不低于0.5级。采用B法测定效率时,转矩测量仪的准确度等级应不低于0.2级(满量程)。 转速表读数误差在±1r/min以内。频率表的准确度等级应不低于0.1级(满量程)。 B法试验主要由额定负载热试验,负载试验和空载试验三部分组成。先进行热试验,这样有利于电机摩擦损耗稳定,紧接其后进行负载试验,最后进行空载试验。如不能按上述顺序连续进行试验,在进行负载试验之前,电机必须达到额定负载热试验时的热稳定状态。 2.控制器驱动三相永磁同步电动机效率试验方法——A法 A法——输入-输出法是用测得的输出功率与输入功率之比计算效率。试验时,被试电机在额定负载下应达到热稳定状态进行负载试验,根据测量采集数据进行分析计算得到效率。A法输入电功率测量仪仪表准确度不低于0.5级,选型优先考虑0.2级;输出机械功率测量,用测功机或转矩转速传感器测取电动机的转矩、转速,转矩传感器的准确度不低于0.2级。 采用A法试验要点时,输入输出功率应进行温度的修正,其定子、转子铜耗折算至环温25℃;输出功率确定应进行转矩修正。 |








