同步电机与异步电机的最大区别就在于两者转子速度是不是与定子旋转的磁场速度一致,如果转子的旋转速度与定子是一样的,那就叫同步电机,如果不一致,就叫异步电动机,具体到性能参数以及应用,两者有很大的区别。
一、同步电机与异步电机转速上的区别
异步电机是定子送入交流电,产生旋转磁场,而转子受感应而产生磁场,这样两磁场作用,使得转子跟着定子的旋转磁场而转动。其中转子比定子旋转磁场慢,有个转差,不同步所以称为异步电机。
同步电机转子是人为加入直流电形成不变磁场,这样转子就跟着定子旋转磁场一起转而同步,始称同步电机。
二、同步电机与异步电机结构与原理上的区别
同步电机和异步电机的定子绕组是相同的,主要区别在于转子的结构。
同步电机的转子上有直流励磁绕组,所以需要外加励磁电源,通过滑环引入电流;
而异步电机的转子是短路的绕组,靠电磁感应产生电流。
异步电机简单,成本低,易于安装,使用和维护,所以受到广泛使用。缺点效率低,功率因数低对电网不利,而同步电机效率高是容性负载,可改善电
网功率因数,多用工矿大型没备。
三、同步电机与异步电机结构与特点上的区别
同步电机的优点:
1、转子无励磁绕组,所以无转子铜耗,因此效率较高;
2、高性能永磁材料提供励磁,给定功率小,体积可以减小;
3、转子转动惯量小,故动态性能好;
4、低效率时较大的功率和转矩输出。
同步电机缺点:
成本高,可靠性低,加工工艺复杂,机械强度差,电动车性能受环境影响大。
异步电机优点:
1、 无永磁高温退磁问题,可以将峰值功率、额定功率、峰值功率工作时间延长。
2、 电机特性受环境影响小;
3、 自身就具有启动高转矩、高速转矩调整;
异步电机缺点:
转子磁场来自定子励磁,存在铜耗,能量转化率比永磁同步电机低。
四、同步电机与异步电机用途上区别
同步电机大多用在大型发电机的场合;而异步电机则几乎全用在电动机场合。
同步电机可以通过励磁灵活调节功率因数;异步电机的功率因数不可调,因此在一些大的工厂,异步电机应用较多时,可附加一台同步电机做调相机用,用来调节工厂与电网接口处的功率因数。但是,由于同步电机造价高,维护工作量大,现在一般都采用电容补偿功率因数。
同步机因为有励磁绕组和滑环,需要操作工人有较高的水平来控制励磁,另外,比起异步电机的免维护来,维护工作量较大;所以,作为电动机时,现在大多选择异步电机。
五、同步电机与异步电机调速方式的区别
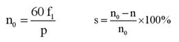
电机的转速主要有磁极对数、频率和转差率这三个因数有关,相关计算公式如下:

异步电机基本调速方法有五种:变磁极对数P、变频率f,变转差率S,改变定子电压、转子回路串接电阻。
同步电机基本调速方法主要有两种:变磁极对数P、变频率f。同步电机主要运用变频的调速方法。