什么是额定转速?电动机的转差率
时间:2023-03-07来源:佚名
|
额定转速是电动机加额定频率的额定电压输出额定功率时的转子转速,单位为“转/分钟”( r/min)。由于交流异步电动机的工作原理决定了转子转速n永远要小于定子磁场的转速(即同步转速ns),这即是此种电动机被称为“异步”电动机的原因。
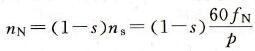
若已知满载转差率s和额定频率fN,另外还要知道该电动机的极对数p,则可通过下式求出额定转速nN。
一般电动机的转差率在5%以下,容量较大者数值较小;高转差率电动机可达到5%~10%,甚至更高。 |





