数字多用表一般是指具有直流电压、直流电流、直流电阻、交流电压、交流电流等测量功能的测量仪表,在日常的生产生活当中非常常见。在前面的文章中我们介绍过数字多用表直流参数的检定,下面本文主要对数字多用表交流参数检定进行介绍。 一、数字多用表交流电压的检定 对数字多用表中交流电压功能的检定可以采用下列方法: 1)比较法; 2)热电比较法; 3)交流标准源法。 检定点选取规则: 1)基本量程选5~10个检定点(频率为50Hz或60Hz),其他量程取3个点; 2)为保证量程范围内的连续性,一般满量程附近和1/10量程作为检定点; 3)基本量程中检定点选择应在整个量程中均匀分布,在非基本量程中还要注意对应于基本量程最大误差的那些点或均匀地选取; 4)频率响应为40Hz、400Hz、1kHz、10KHz的频率接近满量程的点。 1.数字多用表交流电压的检定比较法 用比较法检定数字多用表中交流电压功能的接线如图1所示。
 图1:比较法检定接线 该方法是把被检表和标准交流电压表并联接到交流电压源上。 若标准表的示值为UN(即实际值),被检表的显示值为UX,则绝对误差为:
 相对误差:
 在比较法中,标准表应比被检表多一位,并尽量选取与被检表的量程一致,如果量程不一致则应计算出实际测量点上标准表的允许误差。交流源应具有足够的稳定度,且能连续可调。稳定度应为被检表允许误差的1/5~1/10,调节细度应为被检表允许误差的1/10。 2.数字多用表交流电压的检定热电比较法 热电比较法的接线如图2所示。
 图2:热电比较法接线 热电比较法是通过对热电式交直流转换标准先加入交流电压,而后加入直流标准电压,并调节输入的直流电压使其与交流电压所产生相等的热电动势。这是直流标准电压源的指示灯UN就等于交流电压的有效值,如果被检表的指示值UX,则绝对误差为:
 相对误差为:
 用热电比较法检定数字多用表的交流电压其检定装置的误差主要来源于交直流热电转换器误差。 3.数字多用表交流电压的检定交流标准源法 交流标准源法检定数字多用表交流电压功能的接线如图3所示。
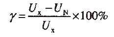
 图3:交流标准源法接线 若标准源的输出值为UN,被检表的指示值为UX,则绝对误差如下:

 用交流标准源法检定数字多用表中电压误差的方法中,交流标准源的输出误差是标准装置的主要误差源。 二、数字多用表交流电流的检定 检定数字多用表中交流电流功能的误差可以采用下列方法: 1)交流标准电流源法; 2)比较法(标准交流数字电流表法); 3)热电比较法。 检定点选取: 基本量程应均匀地选取5个~10个检定点(频率为50Hz或60Hz),其他量程取3个检定点。 1.交流标准电流源法 交流标准电流源法的检定接线如图4所示。
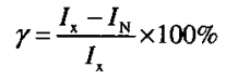
 图4:交流标准电流源法接线 设交流标准电流源输出的实际值为IN,被检表示值为IX,则绝对误差为:
 相对误差可表示为:
 用这种方法检定数字多用表中的交流电流,其装置的误差主要来源于交流标准电流源的输出误差。 2.比较法(标准交流数字电流表法) 比较法检定的接线如图5所示。
 图5:比较法检定接线 设标准交流数字电流表的示值(实际值)为IN,被检表示值为IX,则被检表的绝对误差为:
 相对误差如下:
 3.热电比较法 热电比较法的接线如图6所示。
 图6:热电比较法 热电比较法是通过对热电比较仪转换标准先加入一交流电流信号,此信号也同时加到被校电流表上,而后在热电比较仪上加入一直流标准电流,调节直流标准电流值使其与交流电流所产生的热电势(热电比较仪的输出)相等。这时直流标准电流源的指示值IN就等于交流电流的有效值,如果被检表的指标值IX,则绝对误差为:

 用热电比较法检定数字多用表的交流电流误差其检定装置的误差主要来源于交直流热电转换器的转换误差。
|