变频电机转动惯量测定方法

时间:2023-03-08来源:佚名
转动惯量是指刚体绕轴转动时惯性(回转物体保持其匀速圆周运动或静止的特性)的量度,是衡量电机响应能力和灵活性的指标之一。其量值取决于物体的形状、质量分布及转轴的位置。可说是一个物体对于旋转运动的惯性。转动惯量在旋转动力学中的角色相当于线性动力学中的质量,描述角动量、角速度、力矩和角加速度等数个量之间的关系。
  变频电机转动惯量测定包括悬挂转子摆动法、空载减速法、辅助摆锤法,本文根据相关电机试验标准介绍变频电机这三种转动惯量测试方法的测试内容。
一、悬挂转子摆动法测定转动惯量
1.单钢丝法测定转动惯量
  采用单钢丝扭转摆动比较法测定电机转子的转动惯量。
  选择密度均匀的金属制成假转子,假转子形状应为简单的圆柱体,以便能用式(1)较精确计算出假转子的转动惯量。假转子的质量应能将所选用的钢丝拉直且钢丝不变形。把假转子可靠地悬挂在长度l≥0.5m的钢丝一端,钢丝的另一端固定在支架上,钢丝轴线应与假转子轴线同心且垂直地面。
  将假转子绕心轴扭转一个适当的角度,仔细测量往复摆动次数N及所需时间t(s),求得摆动周期平均值T’(T’=N/t)。被试电机转子在相同的条件下,重复上述试验,按上方法求得其摆动周期的平均值T,按式(2)计算被试电机的转动惯量J。
  假转子的转动惯量J’(kg*㎡)由式(1)计算:
变频电机转动惯量测定方法——(1)
  式中:
  m——直径D部分的圆柱体质量,单位为千克(kg);
  D——圆柱体直径,单位为米(m)。
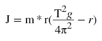
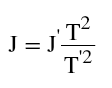
  被试电机转子的转动惯量J(kg*㎡)按式(2)计算:
变频电机转动惯量测定方法——(2)
  式中:
  T——被试电机转子的摆动周期平均值,单位为秒(s);
  T’——假转子的摆动周期平均值,单位为秒(s)。
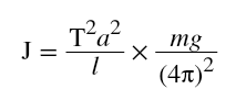
2.双钢丝法测定转动惯量
  用两根平行的钢丝将被试电机转子悬挂起来,使其转轴中心线与地面垂直。扭转转子使其产生以轴线为中心的摆动。距转轴中心线的扭角应不大于10°。仔细测取若干次摆动所需的时间,求出摆动周期的平均值T。转动惯量J(kg*㎡)按式(3)求取:
变频电机转动惯量测定方法——(3)
  式中:
  l——钢丝的长度,单位为米(m);
  m——被试电机转子的质量,单位为千克(kg);
  g——重力加速度,单位为米每二次方秒(m/2^s);
  a——两钢丝之间的距离,单位为米(m)。
二、空载减速法测定转动惯量
  此法用于测定功率为100kW以上上机的转动惯量。
  试验时,使被试电机的转速升高并超过同步转速,然后,切断电源或脱开驱动机械,在1.1倍~0.9倍同步转速范围内,测定转速变化n(r/nin)所需的时间t(s)。转动惯量J(kg*㎡)按式(4)计算:
变频电机转动惯量测定方法——(4)
三、辅助摆锤法测定转动惯量
  此法用于测定具有滚动轴承电机的转动惯量。
  将一个质量已知的辅助摆锤用质量尽可能小的臂杆固定于被试电机转轴端面中心上,摆锤臂杆应与轴线成直角。当转轴上带有皮带轮或半个联轴器时,也可用它们固定摆锤。
  试验时,摆锤的初始位置与静止位置的偏移应不大于15°,在开始摆动后,测量2~3次摆动所需的时间,求出摆动周期的平均值。以摆锤通过静止位置的瞬间作为测量摆动周期的起始点。转动惯量J(kg*㎡)按式(5)计算:
变频电机转动惯量测定方法——(5)
  式中:
  m——辅助摆锤的质量,单位为千克(kg);
  r——辅助摆锤的重心到转轴中心线的距离,单位为米(m);
  T——辅助摆锤摆动周期的平均值,单位为秒(s)。
  对功率为10kw~1000kW的电机,选用辅助摆锤时,应使摆动周期3s~8s。为了校核,建议在摆锤质量略有不同的情况下重复进行测定。

    相关阅读

    关于家居综合布线那点事?

    家居综合布线系统有何作用? 家居综合布线系统是指将电视、电话、计算机网络、多媒体影音中心、自动报警装置等设计进行集中控制的系统,即家庭中由这些线缆连接的设备都可由一...
    2023-06-25
    关于家居综合布线那点事?

    水电腾讯课堂开课啦~学习建筑水电识图从这里开始(文末有福利)

    你还在为看不懂电气施工图而烦恼吗?你还在为找不到系统的识图方法而苦恼吗? 你还在为入门的识图都不会而焦虑烦躁吗? 你还在为升职加薪无望而了无头绪望天兴叹吗? 不要苦恼...
    2023-06-11

    电工上岗证理论考试试题

    一、填空题(每小格1分,共30分) 1、负载的作用是把(电能)转换为(其它形式的能)。 2、欧姆定律告诉我们,通过电阻元件两端的(电流)与其两端之间的(电压)成正比;电压固定时,则与...
    2023-03-21

    供水工艺中自动控制仪表的作用

    大家好!每天学一点,学习更轻松。关注我,感谢大家为我点赞。 今天和大家分享自来水厂工艺流程自动和仪表部分,我们知道,自来水厂的工艺流程:原水经工艺泵抽取到沉淀池,在...
    2023-04-05
    供水工艺中自动控制仪表的作用

    一文了解MLCC内电极用超细镍粉的制备

    一文了解MLCC内电极用超细镍粉的制备 MLCC是由Ni和Pt等金属内电极与介质材料交替叠层而成,然后经高温烧结,最后在两端封上金属端电极的具有独居石结构的器件。 MLCC内部结构及电路...
    2023-03-31
    一文了解MLCC内电极用超细镍粉的制备

    热销商品

    加厚abs安全帽电工建筑工地程施工领导监理透气防砸头盔可印字V型

    这款加厚ABS安全帽专为电工、建筑工地施工人员、领导及监理设计,采用高强度ABS工程塑料,抗冲击、防砸性能优异,有效保障头部安全。帽体加厚设计,增强耐用性与防护等级...
    5.8

    水口钳高硬度模型剪钳电子钳工业级口水剪斜嘴钳偏口斜口专用钳子

    水口钳高硬度模型剪钳是一款工业级精密工具,专为电子、模型制作及精细作业设计。采用优质高碳钢材质,经热处理工艺打造,具备卓越的硬度和耐磨性,可轻松剪切金属引脚、...
    4.8

    170电子剪钳II 如意斜口钳 工业斜嘴钳水口钳 模型剪塑胶钳尖嘴钳

    170电子剪钳II如意斜口钳是一款专业级精密工具,集工业斜嘴钳、水口钳、模型剪、塑胶钳与尖嘴钳功能于一体,适用于电子维修、模型制作、手工艺及精密作业。其采用优...
    4.5

    安全帽国标工地加厚施工领导透气安全头盔建筑工程监理免费印字

    本款安全帽严格遵循国家GB 2811-2019标准,专为建筑工程、工地施工及监理人员设计。采用高强度ABS工程塑料,加厚壳体有效抗冲击,保障头部安全。帽体轻盈透气,内置可调...
    10

    包邮三角型简易螺丝刀三角十字螺丝刀螺丝批改锥起子五金工具5mm

    这款5mm三角型简易螺丝刀,专为拧紧或拆卸三角形螺丝设计,适用于电子维修、家电维护及精密仪器装配等场景。采用优质合金钢材质,刀头硬度高、耐磨损,确保长久使用不变...
    3.64

    网站栏目