闭合回路的电流强度和输出功率

时间:2023-03-09来源:佚名
闭合回路的电流强度和输出功率
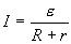
如图中的闭合回路,它属于放电情形。该回路里电源的路端电压U同时也是外电阻R两端的电压,故根据欧姆定律U=IR,代入(1)式可得:闭合回路的电流强度和输出功率   (3) , 利用这公式可将回路中的电流I求出来。
当外电路短路时R→0,U→0, 。一般电源内阻很小,因此短路时电流I很大,而且电源提供的全部功率消耗在内阻上,产生大量的热,可能把电源烧坏。当外电路R很大时,I很小,内阻电位降也小,U≈ε。断路时,R→∞,I→0,则严格地等于ε。电源向负载提供的输出功率为:闭合回路的电流强度和输出功率   (4)
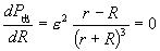
对(4)式求导并令它等于0可得:闭合回路的电流强度和输出功率
由此得:达到极值的条件为R=r。(5)式叫做负载电阻与电源的匹配条件。

相关阅读

逆变器电路图分享 基于PWM IC TL494的逆变器电路设计

非常简单但高度复杂的修正正弦波逆变器电路。PWM IC TL494 的使用不仅使设计的部件数量极其经济,而且高效且准确。 使用 TL494 进行设计 IC TL494 是一款专用 PWM IC,其设计非常适合需要...
2023-08-10
逆变器电路图分享 基于PWM IC TL494的逆变器电路设计

花费十分钟的时间带你走入电能质量的大门,从此看电气图不求人!

如果你希望学习看懂电能质量电气图,却苦于找不到一个简短而全面的教程。那么本教程将花费十分钟的时间带你走入电能质量的大门。从此看电气图不求人! 如何看懂系统图中的电能...
2023-06-11
花费十分钟的时间带你走入电能质量的大门,从此看电气图不求人!

电工基础知识:电感元件是什么,一文详解

今天要给大家讲讲关于电感元件的知识,它也就是我们实际生活中的电感线圈,如图 5-1 所示,就是一些常见的线圈。 图 5-1 电感元件:是电感线圈在电路中的理想二端元件,电感线圈...
2023-06-27
电工基础知识:电感元件是什么,一文详解

电工:应高度重视电气设备的此种“告警”!

2015年,某水电站上位机发“41B接地告警”信号,1机与系统解列停机。 对1发电机中性点连接线,分相摇测定子线圈绝缘,摇测结果显示发电机组定子线圈进行检查,通过试验发现B、C相...
2023-06-11

电工识图基础以及三相电机电流估算方法

学工控技术,拿10万年薪 马上注册,免费学习 超过100课时视频教程,免费下载海量学习资料 1 、电路图: 电路图是利用各种电气符号、图线来表示电气系统中各种电气设备、装置、元...
2023-06-27

热销商品

加厚abs安全帽电工建筑工地程施工领导监理透气防砸头盔可印字V型

这款加厚ABS安全帽专为电工、建筑工地施工人员、领导及监理设计,采用高强度ABS工程塑料,抗冲击、防砸性能优异,有效保障头部安全。帽体加厚设计,增强耐用性与防护等级...
5.8

欧普led筒灯3w孔灯超薄桶灯吊顶天花灯过道嵌入式洞灯客厅5w

欧普LED筒灯是一款高品质嵌入式照明产品,适用于客厅、过道、吊顶等多种场景。采用优质LED光源,提供3W和5W两种功率选择,光线柔和均匀,显色指数高,有效还原真实色彩。超...
7.45

水口钳高硬度模型剪钳电子钳工业级口水剪斜嘴钳偏口斜口专用钳子

水口钳高硬度模型剪钳是一款工业级精密工具,专为电子、模型制作及精细作业设计。采用优质高碳钢材质,经热处理工艺打造,具备卓越的硬度和耐磨性,可轻松剪切金属引脚、...
4.8

170电子剪钳II 如意斜口钳 工业斜嘴钳水口钳 模型剪塑胶钳尖嘴钳

170电子剪钳II如意斜口钳是一款专业级精密工具,集工业斜嘴钳、水口钳、模型剪、塑胶钳与尖嘴钳功能于一体,适用于电子维修、模型制作、手工艺及精密作业。其采用优...
4.5

安全帽国标工地加厚施工领导透气安全头盔建筑工程监理免费印字

本款安全帽严格遵循国家GB 2811-2019标准,专为建筑工程、工地施工及监理人员设计。采用高强度ABS工程塑料,加厚壳体有效抗冲击,保障头部安全。帽体轻盈透气,内置可调...
10

网站栏目