什么是磁场 磁感强度
时间:2023-03-09来源:佚名
|
一、磁场 1.电流或运动电荷之间相互作用的磁力是通过磁场而作用的。故磁力称为磁场力。 2.磁场基本性质:它对于任何置于其中的其它磁极或电流施加作用力。 3.磁铁和磁铁、磁铁和电流、电流和电流的关系可以通过以下图表来表示 |
![]() |
| 注:无论电流(传导电流)还是磁铁,它们的本源都是电荷的运动。 二、安培定律 安培定律:研究电流之间的相互作用规律,是稳恒磁场的基本规律。这个规律是安培通过几个精心设计的实验得到的。电流元之间的相互作用规律只能间接的从闭合载流回路的实验中倒推出来,这里直接给出结论。 |
![]() |
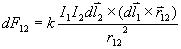
(1) 设dF12为电流元1给电流元2的力,I1和I2分别为它们的电流强度,dl1和dl2分别为两线元的长度,r12为两电流元之间的距离(如上图),则: ![]() (2) dF12的大小还与两电流元的取向有关。为了叙述方便,令r12代表从电流元1到电流元2的矢径,电流元的线元也用矢量dI1和dI2来表示,它们指向各自的电流方向(如上图)。 当电流元共面情形时(如图): |
![]() |
| 普遍情形中(如下图): |
![]() |
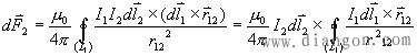
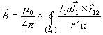
归纳起来则有: 或 ![]() 即: , , 此式即为安培定律的完整表达式。 三、磁感(应)强度 1.磁场:电流或运动电荷之间相互作用的磁力是通过磁场而作用的。故磁力称为磁场力。 2.磁感(应)强度: 根据安培定律: ![]() 整个回路L1对电流元I2dl2的作用力: ![]() 又: ![]() 所以: ![]() 也可写成: ,θ为B矢量与I2dl2之间的夹角。B叫做磁感应强度矢量,上式是它的定义式。单位为牛顿/安培·米或特斯拉,用T表示。1特斯拉=1牛顿/安培·米=10000高斯。任何闭合回路产生的磁感应强度B都可看成是各个电流元I1dl1产生的元磁感应强度dB的矢量叠加。 或 ,称为毕奥-萨伐尔定律。 |





或 
,
,



,θ为B矢量与I2dl2之间的夹角。B叫做磁感应强度矢量,上式是它的定义式。单位为牛顿/安培·米或特斯拉,用T表示。1特斯拉=1牛顿/安培·米=10000高斯。任何闭合回路产生的磁感应强度B都可看成是各个电流元I1dl1产生的元磁感应强度dB的矢量叠加。
或
,称为毕奥-萨伐尔定律。






