(一)互感线圈串联的电路
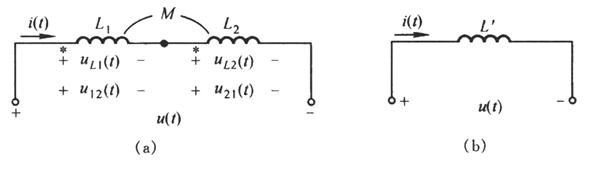
1 .顺串:互感线圈如果异名端串接在一起称顺串,如图 (a) 所示。
由 KVL 可得:

因此等效电感 
上式表明,具有互感的两 线圈顺串时 ,可用一个电感量为
的电感元件等效,如图(b)所示。

2 .反串: 同名端串接在一起称反串, 如图(a) 所示。

等效电感 

等效电路如图(b) 所示。
|

例 4-23 : 电路如图 4-37 所示,有两个电感线圈分别测得 ,将它们串联起来,加上 50Hz 正弦电压 220V ,测得电流 为 10A ,将其中一个线圈反向后再串联起来,测得电流 为 5A 。( 1 )判别它们的同名端;( 2 )求互感 M 。
解: ( 1 )因 ,故前者为反串,后者是顺串,同名端如图 4-37 所示。
( 2 ) 




(二)互感线圈并联的电路

1 .同侧并联:同名端并接在一起称同侧并联,如图(a) 所示。
由 KCL 、 KVL 可得: 
由上式可以得出去 耦 等效电路如图 4-38(b) 所示。所以等效电感 为: 

2 .异侧并联:异名端并接在 一起称异侧 并联,如图(a) 所示。

与同侧并联一样可推导出去 耦 等效电路,如图(b) 所示。所以等效电感 为: 


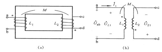
例 : 电路如图所示, 。求:( 1 ) b 、 d 端短接时,等效电感 ;( 2 ) c 、 a 和 d 、 b 并接时,等效电感 ;( 3 ) c 、 d开路时,等效电感 。
解: 根据同名端的定义判明两线圈的同名端,并用耦合电感元件来表示如图(b) 所示。
( 1 ) b 、 d 短接,是两互感线圈的顺串。

( 2 ) c 、 a 和 d 、 b 并接,是两互感线圈的异侧并联。

( 3 ) c 、 d 开路时,该回路不可能有电流。假定在 a 端有一个电流 流入,在 上仅有
产生的自感电压 ,它们的参考方向如图 (b) 所示。即


(三)一端相连的互感线圈
两个互感线圈除了串联和并联之外,还有一种连接方式,就是它们只有一端相连,如图所示。与并联情况类似,我们也可以推导出它们的去 耦 等效电路。
图 同侧一端相连
图 异侧一端相连 |