开关型稳压电路的工作原理
时间:2023-03-10来源:佚名
|
开关型稳压电源的原理可用图1的电路加以说明。它由调整管、滤波电路、比较器、三角波发生器、比较放大器和基准源等部分构成。
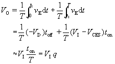
为了稳定输出电压,应按电压负反馈方式引入反馈,以确定基准源和比较放大器的连线。设输出电压增加,FVO增加,比较放大器的输出VF减小,比较器方波输出toff增加,调整管导通时间减小,输出电压下降。起到了稳压作用。 各点波形见图2。由于调整管发射极输出为方波,有滤波电感的存在,使输出电流iL为锯齿波,趋于平滑。输出则为带纹波的直流电压。 忽略电感的直流电阻,输出电压VO即为vE的平均分量。于是有 ![]() q 称为占空比,方波高电平的时间占整个周期的百分比。在输入电压一定时,输出电压与占空比成正比,可以通过改变比较器输出方波的宽度(占空比)来控制输出电压值。这种控制方式称为脉冲宽度调制(PWM)。
1. 调整管工作在开关状态,功耗大大降低,电源效率大为提高; 2. 调整管在开关状态下工作,为得到直流输出,必须在输出端加滤波器; 3. 可通过脉冲宽度的控制方便地改变输出电压值; 4. 在许多场合可以省去电源变压器; 5. 由于开关频率较高,滤波电容和滤波电感的体积可大大减小。 |









