立体角

时间:2023-03-10来源:佚名
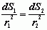
1、平面角

任一平面角立体角的大小都可以用"弧度"来量度,有
立体角

立体角

当以不同的半径立体角作圆时,立体角角所对的弧长立体角 与半径成正比,即

立体角

立体角

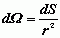
2、立体角
在球面上取一面元立体角 ,由它的边缘上各点引直线到球心立体角,这样就构成一个锥面。这个锥面的顶角是立体的,称为立体角,用立体角 表示。即

立体角

立体角

因为整个球面的面积是立体角,所以它所张的立体角是立体角球面度。当以不同的半径立体角作同心球面时,立体角角所对的面元与半径的平方成正比,即

立体角

立体角

    相关阅读

    施工现场临时用电如何做?这些强制性标准得知晓

    建筑施工现场临时用电工程专用的电源中性点直接接地的220/380V三相四线制低压电力系统,必须符合下列规定: 1采用三级配电系统 2采用TN-S接零保护系统 3采用二级漏电保护系统 临时用...
    2023-06-11

    PLC应用:典型S7-300 PLC硬件控制系统安装(四)

    PLC技术是一门强调实践的课程,如果不动手,只是看书,是不能学好PLC的。看十遍书,不如动一次手。所以学习PLC的过程就是实践、实践、再实践。学习者边学边做本书全部项目,完成...
    2023-06-25
    PLC应用:典型S7-300 PLC硬件控制系统安装(四)

    电工电路的识图方法和识图步骤是什么?

    在电工领域,电路图的识图能力是每一位从业者不可或缺的基本技能。它不仅关乎到日常工作的效率,更是确保电气系统安全稳定运行的关键。本文将从电工电路的识图方法和识图步骤两...
    2024-08-09
    电工电路的识图方法和识图步骤是什么?

    B1级阻燃电缆的技术参数及燃烧性能标准

    什么是B1级阻燃电线电缆? ZB和B1、B2是完全不同性质的电缆,随着高层建筑和电器设备越来越多,电气的安全标准在逐步提高,B1级阻燃电线和电缆在工程应用中使用越来越多。 1、引用...
    2023-06-26
    B1级阻燃电缆的技术参数及燃烧性能标准

    电容器(电容)计算

      一个带电导体附近有其他导体时,由于带电导体对其他导体的静电感应,会使其他导体表面上产生感应电荷,因而它们将影响电势的空间分布,并改变每个导体的电势,故带电导体...
    2023-06-27

    热销商品

    加厚abs安全帽电工建筑工地程施工领导监理透气防砸头盔可印字V型

    这款加厚ABS安全帽专为电工、建筑工地施工人员、领导及监理设计,采用高强度ABS工程塑料,抗冲击、防砸性能优异,有效保障头部安全。帽体加厚设计,增强耐用性与防护等级...
    5.8

    水口钳高硬度模型剪钳电子钳工业级口水剪斜嘴钳偏口斜口专用钳子

    水口钳高硬度模型剪钳是一款工业级精密工具,专为电子、模型制作及精细作业设计。采用优质高碳钢材质,经热处理工艺打造,具备卓越的硬度和耐磨性,可轻松剪切金属引脚、...
    4.8

    170电子剪钳II 如意斜口钳 工业斜嘴钳水口钳 模型剪塑胶钳尖嘴钳

    170电子剪钳II如意斜口钳是一款专业级精密工具,集工业斜嘴钳、水口钳、模型剪、塑胶钳与尖嘴钳功能于一体,适用于电子维修、模型制作、手工艺及精密作业。其采用优...
    4.5

    安全帽国标工地加厚施工领导透气安全头盔建筑工程监理免费印字

    本款安全帽严格遵循国家GB 2811-2019标准,专为建筑工程、工地施工及监理人员设计。采用高强度ABS工程塑料,加厚壳体有效抗冲击,保障头部安全。帽体轻盈透气,内置可调...
    10

    包邮三角型简易螺丝刀三角十字螺丝刀螺丝批改锥起子五金工具5mm

    这款5mm三角型简易螺丝刀,专为拧紧或拆卸三角形螺丝设计,适用于电子维修、家电维护及精密仪器装配等场景。采用优质合金钢材质,刀头硬度高、耐磨损,确保长久使用不变...
    3.64

    网站栏目