高斯定理

时间:2023-03-10来源:佚名
1、高斯定理的内容
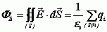
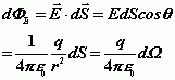
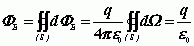
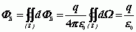
通过任意一个闭合曲面的电通量等于包围在该闭合面内所有电荷电量的代数和除以高斯定理,与闭合面外的电荷无关。用公式表示,得
高斯定理

这个闭合面习惯上叫高斯面。闭合面内的电荷可能有正有负,电量的代数和指的是正负电荷电量的代数和。
2、高斯定理的证明
(1)单个点电荷包围在同心球面内 高斯定理
设空间有一点电荷高斯定理,其周围激发电场。以高斯定理为球心,高斯定理为半径作一球面高斯定理为高斯面。则高斯面上各点场强的大小相等,方向沿矢径方向向外。在高斯面上取一面元高斯定理,则通过高斯定理的电通量为

高斯定理

通过整个高斯面的电通量为
高斯定理

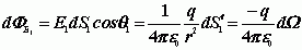
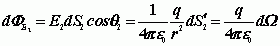
(2)单个点电荷包围在任意闭合曲面内
在闭合曲面高斯定理内以高斯定理为球心,高斯定理为半径作一任意球面高斯定理为高斯面。在高斯定理面上取一面元 高斯定理,则通过高斯定理 的电通量为
高斯定理

通过整个闭合曲面高斯定理的电通量为
高斯定理

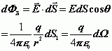
(3)单个点电荷在任意闭合曲面外 高斯定理
高斯定理为顶点作一锥面,立体角为高斯定理。锥面在闭合曲面上截取了两个面元高斯定理,高斯定理 ,它们到顶点的距离分别为高斯定理 ,则通过高斯定理高斯定理的电通量为
高斯定理
高斯定理

高斯定理高斯定理的数值相等,符号相反,它们的代数和为零。而通过整个闭合曲面的电通量 高斯定理是通过这样一对对面元的电通量之和,因而也等于零。

(4)多个点电荷的情形 高斯定理
设空间同时存在高斯定理个点电荷,其中高斯定理在高斯面 之内,
高斯定理在高斯面高斯定理之外。设高斯定理面上任一点的场强为高斯定理,由场强叠加原理,得

高斯定理

式中高斯定理 是各点电荷单独存在时的场强。穿过 面的电通量为

高斯定理
高斯定理

高斯定理是静电场的两条基本定理之一,它反映了静电场的基本性质:静电场是有源场,"源"即电荷。此外高斯定理不仅对静电场适用,对变化的电场也适用,它是电磁场理论的基本方程之一。

    相关阅读

    加强电力安全生产管理的对策及建议

    (一)牢固树立“安全第一,预防为主”的思想,树立以人为本的思想,强化安全意识 各级领导要树立“管理就是责任,责任重于泰山”的思想,要以身作则,带头遵守好《安规》和各...
    2023-03-21

    维修电工必须掌握的四大法宝,你值得拥有

    作为一名维修电工,掌握实用的技能非常重要,不仅可以为自己和他人解决各种电气问题,还可以在全国各地找到工作机会。那么,维修电工需要掌握哪些法宝呢? 第一大法宝:专业基...
    2023-04-04
    维修电工必须掌握的四大法宝,你值得拥有

    如何区分“旁路电容”和“去耦电容” 趣味看懂

    如何区分“旁路电容”和“去耦电容” 旁路电容与去耦电容简介 1、旁路电容 旁路电容是可将混有高频电流和低频电流的交流电中的高频成分旁路滤掉的电容。对于同一个电路来说,旁...
    2023-03-31
    如何区分“旁路电容”和“去耦电容” 趣味看懂

    【提醒】万万没想到!家家在用的这些东西,一个月能偷近百度电!

    来源:中国经济网(ID:ourcecn)江苏新闻(ID:jstvjsxw) 智能电表是不是比老式电表走得快?家里的电费为什么会居高不下?你是不是有这样的疑问?3月15日,南京供电公司的工作人员走...
    2023-06-11
    【提醒】万万没想到!家家在用的这些东西,一个月能偷近百度电!

    电工必备-常见电路实物接线图大全,你想要的都在这里了!

    常见电路实物接线图大全 扩展阅读 互感器又称为仪用变压器,是电流互感器和电压互感器的统称。能将高电压变成低电压、大电流变成小电流,用于量测或保护系统。其功能主要是将...
    2023-06-11

    热销商品

    加厚abs安全帽电工建筑工地程施工领导监理透气防砸头盔可印字V型

    这款加厚ABS安全帽专为电工、建筑工地施工人员、领导及监理设计,采用高强度ABS工程塑料,抗冲击、防砸性能优异,有效保障头部安全。帽体加厚设计,增强耐用性与防护等级...
    5.8

    水口钳高硬度模型剪钳电子钳工业级口水剪斜嘴钳偏口斜口专用钳子

    水口钳高硬度模型剪钳是一款工业级精密工具,专为电子、模型制作及精细作业设计。采用优质高碳钢材质,经热处理工艺打造,具备卓越的硬度和耐磨性,可轻松剪切金属引脚、...
    4.8

    170电子剪钳II 如意斜口钳 工业斜嘴钳水口钳 模型剪塑胶钳尖嘴钳

    170电子剪钳II如意斜口钳是一款专业级精密工具,集工业斜嘴钳、水口钳、模型剪、塑胶钳与尖嘴钳功能于一体,适用于电子维修、模型制作、手工艺及精密作业。其采用优...
    4.5

    安全帽国标工地加厚施工领导透气安全头盔建筑工程监理免费印字

    本款安全帽严格遵循国家GB 2811-2019标准,专为建筑工程、工地施工及监理人员设计。采用高强度ABS工程塑料,加厚壳体有效抗冲击,保障头部安全。帽体轻盈透气,内置可调...
    10

    包邮三角型简易螺丝刀三角十字螺丝刀螺丝批改锥起子五金工具5mm

    这款5mm三角型简易螺丝刀,专为拧紧或拆卸三角形螺丝设计,适用于电子维修、家电维护及精密仪器装配等场景。采用优质合金钢材质,刀头硬度高、耐磨损,确保长久使用不变...
    3.64

    网站栏目