理想变压器定义

时间:2023-03-10来源:佚名
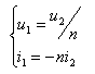
理想变压器是一个四端元件,其电路符号如图所示。在图中标定的电压电流参考方向下,其端口伏安特性为

理想变压器定义

理想变压器定义
其中n为正常数,称为变比。注意理想变压器VAR定义中的变量参考方向。

    相关阅读

    电工实操考核中,最经典的7张电路图,全看懂的给你点个赞!

    电路图目录: 日光灯照明与两控一灯一插座线路 线绕式异步电动机控制线路 三相四线电度表带互感器电路图 星/三角降压起动控制线路 双重联锁正、反转控制线路 电动机单向两地控制...
    2023-06-11

    漏电保护装置的选择

    1.形式的选择 一般情况下,应优先选择电流型电磁式漏电保护器 ,以求有较高的可靠性. 2.额定电流的选择 漏电保护器的额定电流应大于实际负荷电流. 3.极数的选择 家庭的单相电源...
    2023-03-18

    热继电器的作用_热继电器的实物图

    热继电器 的实物图 由发热元件、常闭触点和复位按钮组成。具有动作电流整定机构,主要技术数据是整定电流,按所控制的电动机 额定电流选用,作为过载保护用。...
    2023-03-09
    热继电器的作用_热继电器的实物图

    低压抽出式开关柜结构设计对电气性能的影响

    低压成套开关设备在低压配电系统中完成电能的再分配,实现电网的控制、测量、保护、转换等作用。凡是使用电能的场所都需要配备低压成套设备,它在国民经济建设尤其是石油、化...
    2023-03-19

    干式变压器工程选型和应用

    1、干式变压器的温度控制系统 干式变压器的安全运行和使用寿命,很大程度上取决于变压器绕组绝缘的安全可靠。绕组温度超过绝缘耐受温度使绝缘破坏,是导致变压器不能正常工作...
    2023-03-13

    热销商品

    加厚abs安全帽电工建筑工地程施工领导监理透气防砸头盔可印字V型

    这款加厚ABS安全帽专为电工、建筑工地施工人员、领导及监理设计,采用高强度ABS工程塑料,抗冲击、防砸性能优异,有效保障头部安全。帽体加厚设计,增强耐用性与防护等级...
    5.8

    水口钳高硬度模型剪钳电子钳工业级口水剪斜嘴钳偏口斜口专用钳子

    水口钳高硬度模型剪钳是一款工业级精密工具,专为电子、模型制作及精细作业设计。采用优质高碳钢材质,经热处理工艺打造,具备卓越的硬度和耐磨性,可轻松剪切金属引脚、...
    4.8

    170电子剪钳II 如意斜口钳 工业斜嘴钳水口钳 模型剪塑胶钳尖嘴钳

    170电子剪钳II如意斜口钳是一款专业级精密工具,集工业斜嘴钳、水口钳、模型剪、塑胶钳与尖嘴钳功能于一体,适用于电子维修、模型制作、手工艺及精密作业。其采用优...
    4.5

    安全帽国标工地加厚施工领导透气安全头盔建筑工程监理免费印字

    本款安全帽严格遵循国家GB 2811-2019标准,专为建筑工程、工地施工及监理人员设计。采用高强度ABS工程塑料,加厚壳体有效抗冲击,保障头部安全。帽体轻盈透气,内置可调...
    10

    包邮三角型简易螺丝刀三角十字螺丝刀螺丝批改锥起子五金工具5mm

    这款5mm三角型简易螺丝刀,专为拧紧或拆卸三角形螺丝设计,适用于电子维修、家电维护及精密仪器装配等场景。采用优质合金钢材质,刀头硬度高、耐磨损,确保长久使用不变...
    3.64

    网站栏目