功率放大电路参数计算
时间:2023-03-10来源:佚名
|
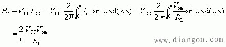
1.最大不失真输出功率Pomax 设互补功率放大电路为乙类工作状态,输入为正弦波。忽略三极管的饱和压降,负载上的最大不失真功率为 ![]() 2.电源功率PV 直流电源提供的功率为半个正弦波的平均功率,信号越大,电流越大,电源功率也越大。 ![]() 显然PV近似与电源电压的平方成比例。 3.三极管的管耗PT 电源输入的直流功率,有一部分通过三极管转换为输出功率,剩余的部分则消耗在三极管上,形成三极管的管耗。显然 ![]() 将PT画成曲线,如图所示。显然,管耗与输出幅度有关,显然管耗与输出幅度有关,图中画阴影线的部分即代表管耗,PT与Vom 成非线性关系,有一个最大值。可用PT对Vom求导的办法找出这个最大值。PTmax发生在Vom=0.64VCC处,将 Vom=0.64VCC代入PT表达式,可得PTmax为 对一只三极管
当Vom= VCC 时效率最大,η=π/4 =78.5%。 ![]() |












