并联谐振电路的频率响应

时间:2023-03-10来源:佚名

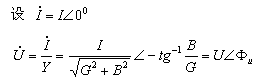
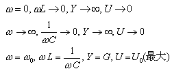
在串联谐振电路上加电流源,将电压对频率的关系曲线称为电路的选频特性。
并联谐振电路的频率响应
其中幅度
并联谐振电路的频率响应

对 ω的关系称之为幅频特性
并联谐振电路的频率响应
对ω的关系称之为相频特性

并联谐振电路的频率响应










幅度频率特性为带通型特性。
并联谐振电路的频率响应
当频率变化时,电压的幅度变化情况为
并联谐振电路的频率响应
当频率变化时,电压的相位变化情况为
并联谐振电路的频率响应

并联谐振电路的频率响应







并联谐振电路的频率响应


通频带与带宽

并联谐振电路的频带宽度BW定义与计算与串联谐振电路带宽相同。频带宽度定义为
BW=f2-f1

当Q值较高时
并联谐振电路的频率响应
BW与回路品质因数Q0成反比。

并联谐振电路的频率响应

并联谐振电路的频率响应

信号源内阻和负载电阻的影响

Rs和RL的作用是使总并联电阻下降,Q值降低。因为并联谐振电路的Q值可以表示为
Q = R

所以,要减少信号源内阻和负载电阻的影响,希望 Rs和RL越大越好,并联谐振电路适合于高阻电源和负载。

    热销商品

    加厚abs安全帽电工建筑工地程施工领导监理透气防砸头盔可印字V型

    这款加厚ABS安全帽专为电工、建筑工地施工人员、领导及监理设计,采用高强度ABS工程塑料,抗冲击、防砸性能优异,有效保障头部安全。帽体加厚设计,增强耐用性与防护等级...
    5.8

    水口钳高硬度模型剪钳电子钳工业级口水剪斜嘴钳偏口斜口专用钳子

    水口钳高硬度模型剪钳是一款工业级精密工具,专为电子、模型制作及精细作业设计。采用优质高碳钢材质,经热处理工艺打造,具备卓越的硬度和耐磨性,可轻松剪切金属引脚、...
    4.8

    170电子剪钳II 如意斜口钳 工业斜嘴钳水口钳 模型剪塑胶钳尖嘴钳

    170电子剪钳II如意斜口钳是一款专业级精密工具,集工业斜嘴钳、水口钳、模型剪、塑胶钳与尖嘴钳功能于一体,适用于电子维修、模型制作、手工艺及精密作业。其采用优...
    4.5

    安全帽国标工地加厚施工领导透气安全头盔建筑工程监理免费印字

    本款安全帽严格遵循国家GB 2811-2019标准,专为建筑工程、工地施工及监理人员设计。采用高强度ABS工程塑料,加厚壳体有效抗冲击,保障头部安全。帽体轻盈透气,内置可调...
    10

    包邮三角型简易螺丝刀三角十字螺丝刀螺丝批改锥起子五金工具5mm

    这款5mm三角型简易螺丝刀,专为拧紧或拆卸三角形螺丝设计,适用于电子维修、家电维护及精密仪器装配等场景。采用优质合金钢材质,刀头硬度高、耐磨损,确保长久使用不变...
    3.64

    网站栏目