互感元件反映阻抗法

时间:2023-03-10来源:佚名

反映阻抗法

当由互感元件构成如图(a)所示初级与次级回路时,可采用反映阻抗的概念先分析初级再分析次级,这种方法称为反映阻抗法
互感元件反映阻抗法
反映阻抗分析方法的推导如下。
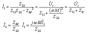
列出(a)电路回路方程:
互感元件反映阻抗法
其中
互感元件反映阻抗法
从中解出初级和次级电流
互感元件反映阻抗法
互感元件反映阻抗法
互感元件反映阻抗法
其中
互感元件反映阻抗法
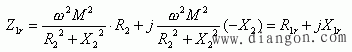
是次级通过互感对初级的影响,称为反映阻抗
互感元件反映阻抗法
R1r: 称为反映电阻,X1r: 称为反映电抗,性质与次级电抗X2相反。
反映电阻上的功率:
互感元件反映阻抗法
∴次级功率相当于R1r的功率。

分析实例1

已知: XM =1Ω 求(a)电路电源供出功率 和次级消耗的功率。
互感元件反映阻抗法
解:用反映阻抗法,画出初级和次级等效电路
互感元件反映阻抗法
互感元件反映阻抗法
次级消耗功率可以通过次级电流计算
互感元件反映阻抗法
或者通过初级反映阻抗来计算
互感元件反映阻抗法

分析实例2

已知 XM =1Ω ,用戴维南等效电路法求(a)电路电源供出功率和次级消耗的功率。
解:根据戴维南定理,断去1W电阻,求戴维南等效电路(b),其中Z2r是初级反映到次级的反映阻抗。
互感元件反映阻抗法
互感元件反映阻抗法
接上1W电阻之后的电流和功率为
互感元件反映阻抗法
注意上面求出的电流已经考虑了初级的影响,该电流在初级产生的感应电压用受控源来表示,做出初级等效电路(c),计算初级电流和电源功率
互感元件反映阻抗法
互感元件反映阻抗法

互感元件反映阻抗法

互感元件反映阻抗法






互感元件反映阻抗法

    相关阅读

    白炽灯发光原理

    白炽灯由玻璃泡、灯丝、灯头三部分组成。灯丝用熔点高和不易蒸发的钨丝做成,小功率的灯泡内抽成真空,大功率(大于40瓦)的灯泡内抽成真空后,充以惰性气体,如氩气等,灯泡的灯...
    2023-06-27
    白炽灯发光原理

    电力安全工器具使用规范,你做对了吗?

    电力安全工器具使用前,应检查确认绝缘部分无裂纹,无老化、无绝缘层脱落、无严重伤痕等现象以及固定连接部分无松动、无锈蚀、无断裂等现象。对其绝缘部分的外观有疑问时应经...
    2023-06-11

    温度测量与控制电路Multisim仿真

    温度传感器方案论述: 温度的检测与控制,在工业控制中有着十分重要的地位。由于温度属于非电量,在进行检测的时候需要将温度转换成电信号,温度的变化转换成电压的变化,进而...
    2023-07-07
    温度测量与控制电路Multisim仿真

    S7200SMART高速计数器应用详解

    导读 : 很多初学者知道如何使用 STEP 7-MicroWIN SMART 软件中的高速计数器向导,但不知道如何在不使用高速计数器向导编写一个高数计数器程序,小编在这里就通过本文章介绍高速计数器...
    2024-03-18
    S7200SMART高速计数器应用详解

    家用电器工作在260V电压下比工作在220V电压下是否多耗电?

    我国的民用市电的电压是220V50HZ的交流电,它的电压标准是220V -7~ 10%之间,既它的下限是205V和上限是242V的标准。260V是明显高于供电电压标准,电工有句俗语是:电压高烧灯泡,电压低...
    2023-06-11
    家用电器工作在260V电压下比工作在220V电压下是否多耗电?

    热销商品

    加厚abs安全帽电工建筑工地程施工领导监理透气防砸头盔可印字V型

    这款加厚ABS安全帽专为电工、建筑工地施工人员、领导及监理设计,采用高强度ABS工程塑料,抗冲击、防砸性能优异,有效保障头部安全。帽体加厚设计,增强耐用性与防护等级...
    5.8

    水口钳高硬度模型剪钳电子钳工业级口水剪斜嘴钳偏口斜口专用钳子

    水口钳高硬度模型剪钳是一款工业级精密工具,专为电子、模型制作及精细作业设计。采用优质高碳钢材质,经热处理工艺打造,具备卓越的硬度和耐磨性,可轻松剪切金属引脚、...
    4.8

    170电子剪钳II 如意斜口钳 工业斜嘴钳水口钳 模型剪塑胶钳尖嘴钳

    170电子剪钳II如意斜口钳是一款专业级精密工具,集工业斜嘴钳、水口钳、模型剪、塑胶钳与尖嘴钳功能于一体,适用于电子维修、模型制作、手工艺及精密作业。其采用优...
    4.5

    安全帽国标工地加厚施工领导透气安全头盔建筑工程监理免费印字

    本款安全帽严格遵循国家GB 2811-2019标准,专为建筑工程、工地施工及监理人员设计。采用高强度ABS工程塑料,加厚壳体有效抗冲击,保障头部安全。帽体轻盈透气,内置可调...
    10

    包邮三角型简易螺丝刀三角十字螺丝刀螺丝批改锥起子五金工具5mm

    这款5mm三角型简易螺丝刀,专为拧紧或拆卸三角形螺丝设计,适用于电子维修、家电维护及精密仪器装配等场景。采用优质合金钢材质,刀头硬度高、耐磨损,确保长久使用不变...
    3.64

    网站栏目