基尔霍夫定律的应用
时间:2023-03-10来源:佚名
|
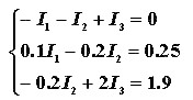
例题1 复杂电路如图所示,已知 V, V, 。 求:(1)各支路电流;(2) 两点间的电压;(3)两电源输出功率和电阻 消耗的功率。![]() 解:(1)设各支路电流为 ,方向如图所示。 由KCL得节点A电流方程为 ①设两个网孔的绕行方向均为逆时针方向,由KVL得两网孔电压方程为 ② ③代入电动势和电阻的数值,得
|
|
例题1 复杂电路如图所示,已知 V, V, 。 求:(1)各支路电流;(2) 两点间的电压;(3)两电源输出功率和电阻 消耗的功率。![]() 解:(1)设各支路电流为 ,方向如图所示。 由KCL得节点A电流方程为 ①设两个网孔的绕行方向均为逆时针方向,由KVL得两网孔电压方程为 ② ③代入电动势和电阻的数值,得
|







