安培环路定律

时间:2023-03-10来源:佚名

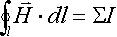
磁场强度矢量 沿任意闭合路径的线积分等于穿过此路径所围成的面的全部电流代数和。

安培环路定律

式中的安培环路定律是磁场强度矢量安培环路定律沿任意闭合回路l(常取磁通作为闭合回路)的线积分, ∑I是穿过该闭合回线l所围面积的电流的代数和,且该式与磁场中介质的分布无关。其中电流的正、负要看它的方向和所选路径的方向之间是否符合右手螺旋法则而定。当电流的参考方向与闭合回线的绕行方向符合右手螺旋法则时,该电流前取正号,反之取负号。

例如图中的电流I1和I3为正,而I2为负,运用安培定律可写成:

安培环路定律

    相关阅读

    电动机控制:交流接触器解剖图与原理图

    有关电动机控制的基础知识第二部分,重点介绍了交流接触器 的解剖图、原理缩略图、简单的接触器控制整图等,需要的朋友参考下。 电动机 控制:交流接触器解剖图与原理图 交流接...
    2022-12-11
    电动机控制:交流接触器解剖图与原理图

    接近传感器误动作如何解决?

    接近传感器 误动作请按照以下步骤排故: ① 稳定电源 给接近传感器单独供电; ② 响应频率在额定范围内; ③ 物体检测过程中有抖动,导致超出检测区域; ④ 多个探头紧密安装互相...
    2023-03-20

    施工单位使用继电保护的安全规定

    有关施工单位使用继电保护的安全规定,施工单位使用继电保护的注意事项,线路中励磁涌流对继电保护装置的影响,防止涌流引起误动的方法,TA饱和对保护的影响,所用变压器的保...
    2022-12-05

    步进电机工作原理说明

    步进电机 是一种用数字信号控制的传动机构,若在其输入端加入一个脉冲信号,该电机就会旋转一个角度或移动一定距离,故称之为步进电机。它在数字控制装置中有着广泛的应用。步...
    2023-03-17
    步进电机工作原理说明

    电动机启动时发热或冒烟的处理方法

    电动机 在启动时,出现机壳发壳或冒烟的问题时,一定要马上关闭电动机,然后逐一排查原因,造成电动机起动发热或冒烟的原因有许多种,要针对具体原因采取可行的处理方法。 一...
    2022-12-11

    热销商品

    加厚abs安全帽电工建筑工地程施工领导监理透气防砸头盔可印字V型

    这款加厚ABS安全帽专为电工、建筑工地施工人员、领导及监理设计,采用高强度ABS工程塑料,抗冲击、防砸性能优异,有效保障头部安全。帽体加厚设计,增强耐用性与防护等级...
    5.8

    水口钳高硬度模型剪钳电子钳工业级口水剪斜嘴钳偏口斜口专用钳子

    水口钳高硬度模型剪钳是一款工业级精密工具,专为电子、模型制作及精细作业设计。采用优质高碳钢材质,经热处理工艺打造,具备卓越的硬度和耐磨性,可轻松剪切金属引脚、...
    4.8

    170电子剪钳II 如意斜口钳 工业斜嘴钳水口钳 模型剪塑胶钳尖嘴钳

    170电子剪钳II如意斜口钳是一款专业级精密工具,集工业斜嘴钳、水口钳、模型剪、塑胶钳与尖嘴钳功能于一体,适用于电子维修、模型制作、手工艺及精密作业。其采用优...
    4.5

    安全帽国标工地加厚施工领导透气安全头盔建筑工程监理免费印字

    本款安全帽严格遵循国家GB 2811-2019标准,专为建筑工程、工地施工及监理人员设计。采用高强度ABS工程塑料,加厚壳体有效抗冲击,保障头部安全。帽体轻盈透气,内置可调...
    10

    包邮三角型简易螺丝刀三角十字螺丝刀螺丝批改锥起子五金工具5mm

    这款5mm三角型简易螺丝刀,专为拧紧或拆卸三角形螺丝设计,适用于电子维修、家电维护及精密仪器装配等场景。采用优质合金钢材质,刀头硬度高、耐磨损,确保长久使用不变...
    3.64

    网站栏目