传递法转矩测量
|
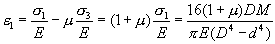
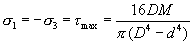
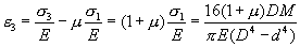
转矩测量仪器及装置很多,应根据使用环境、测量精度等要求来选择。 1.应变式转矩测量 应变式转矩测量仪通过测量由于转矩作用在转轴上产生的应变来测量转矩。 根据材料力学的理论,转轴在转矩M的作用下,其横截面上最大剪应力
式中,D为轴的外径;d为空心轴的内径。
根据应力应变关系,应变为
式中,E为材料的弹性模量(Pa);μ为材料的泊松比。 这样就可沿正负主应力
图1 应变片式转矩传感器 应变式转矩传感器结构简单,精度较高。贴在转轴上的电阻应变片与测量电路一般通过集流环连接。集流环有电刷-滑环式、水银式和感应式等。集流环存在触点磨损和信号不稳定等问题,不适于测量高速转轴的转矩。近年来,已研制出遥测应变式转矩仪,它在上述应变电桥后,将输出电压用无线发射的方式传输,有效地解决了上述问题。 2.压磁式转矩传感器 铁磁材料制成的转轴,具有压磁效应,在受转矩作用后,沿拉应力 压磁式转矩传感器是非接触测量,使用方便,结构简单可靠,基本上不受温度影响和转轴转速限制,而且输出电压很高(可达10V)。 3.扭转角式转矩测量
图2 压磁式转矩传感器 扭转角式转矩测量法是通过扭转角来测量转矩的。 根据材料力学,在转矩M作用下,转轴上相距L的两横截面之间的相对转角
式中,G为轴的切变弹性模量。 由式(6)可知,当转轴受转矩作用时,其上两截面间的相对扭转角与转矩成正比,因此可以通过测量扭转角来测量转矩。根据这一原理,可以制成光电式、相位差式、振弦式等转矩传感器。 (1)光电式转矩传感器 光电式转矩传感器如图3所示。在转轴上安装两个光栅圆盘,两个光栅盘外侧设有光源和光敏元件。无转矩作用时,两光栅的明暗条纹相互错开,完全遮挡住光路,因此放置于光栅一侧的光敏元件接收不到来自光栅盘另一侧的光源的光信号,无电信号输出。当有转矩作用于转轴上时,由于轴的扭转变形,安装光栅处的两截面产生相对转角,两片光栅的暗条纹逐渐重合,部分光线透过两光栅而照射到光敏元件上,从而输出电信号。转矩越大,扭转角越大,照射到光敏元件上的光越多,因而输出电信号也越大。 这是一种非接触测量方法,结构简单,使用方便可靠,且测量精度不受转速变化的影响。 (2)相位差式转矩传感器 图4所示是基于磁感应原理的磁电相位差式转矩传感器。它在被测转轴相距L的两端处各安装一个齿形转轮,靠近转轮沿径向各放置一个感应式脉冲发生器(在永久磁铁上绕一固定线圈而成)。当转轮的齿顶对准永久磁铁的磁极时,磁路气隙减小,磁阻减小,磁通增大;当转轮转过半个齿距时,齿谷对准磁极,气隙增大,磁通减小,变化的磁通在感应线圈中产生感应电势。无转矩作用时,转轴上安装转轮的两处无相对角位移,两个脉冲发生器的输出信号相位相同。当有转矩作用时,两转轮之间就产生相对角位移
图3 光电式转矩传感器 图4 相位差式转矩传感器
代入式(5),得
可见只要测出相位差 与光电式转矩传感器一样,相位差式转矩传感器也是非接触测量,结构简单,工作可靠,对环境条件要求不高,精度一般可达0.2级。 (3)振弦式转矩传感器 图5所示是振弦式转矩传感器。在被测轴上相隔距离
图5 振弦式转矩传感器 在安装振弦时必须使其有一定的预紧力。 |
与轴截面系数W和转矩M之间的关系为
(1)
(2)
和
,的数值等于
(3)
(4)
(5) 
方向磁阻减小,沿压应力-
为
(6)
,两个脉冲发生器的输出感应电势出现与转矩成比例的相位差
,设转轮齿数为N,则相位差
(7)
(8)
就可测得转矩。N的选取应使相位差满足:
的两个面上固定安装着两个测量环,两根振弦分别被夹紧在测量环的支架上。当轴受转矩作用时,两个测量环之间产生一相对转角,并使两根振弦中的一根张力增大,另一根张力减小,张力的改变将引起振弦自振频率的变化。自振频率与所受外力的平方根成正比,因此测出两振弦的振动频率差,就可知转矩大小。









