矩形波发生电路
|
1、电路组成及工作原理 因为矩形波电压只有两种状态,不是高电平就是低电平,所以电压比较器是它的重要组成部分;因为产生振荡,就要求输出的两种状态自动地相互装换,所以电路中必须引入反馈;因为输出状态应按一定的时间间隔交替变化,即产生周期性变化,所以输出电路中要有延时环节来确定每种状态维持的时间。图1所示矩形波发生电路,它由反相输入的滞回比较器和RC电路组成。RC回路既作为延迟环节,又作为反馈网络,通过RC充、放电实现输出状态的自动转换。
图1中滞回比较器的输出电压uo=±UZ,阀值电压为
因而电压传输特性如图1(b)所示。 设某一时刻输出电压uo=±UZ,则同相输入端电位uo=±UT。uo通过R3对电容C正向充电,如图中虚箭头所示。反相输入端电位un随时间t增长而逐渐升高,当t趋近于无穷时,un趋于 UZ;但是,一旦un= UT,再稍增大,uo就从 UZ跃变为-UZ,与此同时up从 UT跃变为-UT。随后,uo又通过R3对电容C反向充电,或者说放电,如图中实线箭头所示。反相输入端电位un随时间t增长而逐渐降低,当t趋近于无穷时,un趋于-UZ;但是,一旦un=-UT,再稍减小,uo就从-UZ跃变为 UZ,与此同时up从-UT跃变为 UT,电容又开始正向充电。上述过程周而复始,电路产生了自激振荡。 2、波形分析及主要参数 由于图1(a)所示电路中电容正向充电与反向充电的时间常数均为R3C,而且充电的总幅值也相等,因而在一个周期内uo= UZ的时间与uo=-UZ的时间相等,uo为对称的方波,所以也称该电路为方波发生电路。电容上电压 (集成运放反相输入端电位 )和电路输出电压波形如图2所示。矩形波的宽度TK与周期T之比称为占空比,因此uo是占空比为1/2的矩形波。
根据上述电压波形可知,在1/2周期内,电容充电的起始值为-UT,终了值为 UT,时间常数为R3C,时间t趋于无穷时,uc趋于 UZ,利用一阶RC电路的三要素法可列出方程:
将式(1)代入上式,即可求出振荡周期为
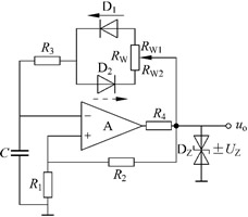
振荡频率:f=1/T。 通过以上分析可知,调整电压比较器的电路参数R1、R2及UZ。可以改变方波发生电路的振荡幅值,调整电阻R1、R2、R3和电容C的数值可以改变电路的振荡频率。 3、占空比可调电路 通过对方波发生电路电路的分析,可以想象,欲改变输出电压的占空比,就必须使电容正向和反向充电的时间常数不同,即两个充电回路的参数不同;利用二极管的单向导电性可以引导电流流经不同的通道,占空比可调的矩形波发生电路如图3(a)所示,电容上电压和输出电压波形如图3(b)所示。
当uo= UZ时,uo通过RW1、D1和R3对电容C正向充电,若忽略二极管导通时的等效电阻,则时间常数:
当uo=-UZ时,uo通过RW2、D2和R3对电容C反向充电,若忽略二极管导通时的等效电阻,则时间常数:
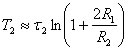
利用一阶RC电路的三要素法可列出方程:
|



















